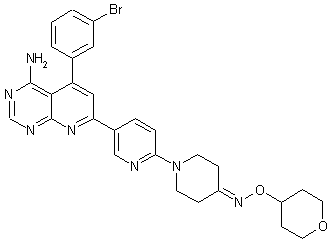
【药物名称】
化学结构式(Chemical Structure):
参考文献No.43145
标题:5,7-Disubstd.-4-aminopyrido[2,3-d]pyrimidine cpds.
作者:Stewart, A.O.; Perner, R.J.; McKie, J.A.; Zheng, G.Z.; Grillot, A.L.; Cowart, M.D.; Bhagwat, S.S.; Lee, C.-H. (Abbott Laboratories Inc.)
来源:WO 0023444
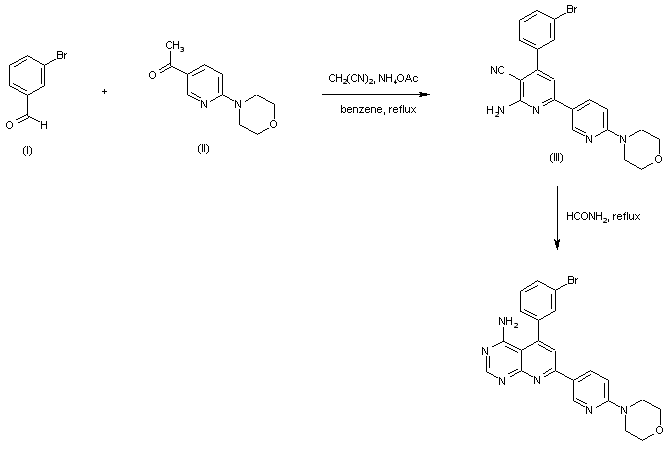
合成路线图解说明:

The condensation between 3-bromobenzaldehyde (I), 1-(6-morpholinyl-3-pyridinyl)ethanone (II) and malononitrile in the presence of ammonium acetate in refluxing benzene produced the bipyridyl derivative (III). Then treatment of (III) with refluxing formamide gave the title pyridopyrimidine.

合成路线图解说明:

6-Chloronicotinic acid (I) was converted to the corresponding acid chloride (II) by treatment with oxalyl chloride. Condensation of acid chloride (II) with diethyl malonate in the presence of MgCl2 and Et3N produced the keto diester (III), which was further decarbethoxylated to ketone (IV) upon heating in moist DMSO. Displacement of the chloride group of (III) with 4-piperidone ethylene ketal (V) furnished the piperidinyl pyridine (VI). Knoevenagel condensation of malononitrile with 3-bromobenzaldehyde (VII) using glycine as the catalyst produced the benzylidene malononitrile (VIII). The dipyridyl derivative (IX) was obtained by condensation of ketone (VI) with dinitrile (VIII) in the presence of ammonium acetate. Cyclization of amino nitrile (IX) in hot formamide gave rise to the pyridopyrimidine system (X). Ketone (XI) was then obtained by acid hydrolysis of the ethylene ketal function of (X). Finally, condensation of ketone (XI) with 4-tetrahydropyranyloxyamine (XII) yielded the title oxime.

参考文献No.629158
标题:Pyridopyrimidine analogues as novel adenosine kinase inhibitors
作者:Zheng, G.Z.; Lee, C.; Pratt, J.K.; Perner, R.J.; Jiang, M.Q.; Gomtsyan, A.; Matulenko, M.A.; Mao, Y.; Koenig, J.R.; Kim, K.H.; Muchmore, S.; Yu, H.; Kohlhaas, K.; Alexander, K.M.; McGaraughty, S.; Chu, K.L.; Wismer, C.T.; Mikusa, J.; et al.
来源:Bioorg Med Chem Lett 2001,11(16),2071
合成路线图解说明:

6-Chloronicotinic acid (I) was converted to the corresponding acid chloride (II) by treatment with oxalyl chloride. Condensation of acid chloride (II) with diethyl malonate in the presence of MgCl2 and Et3N produced the keto diester (III), which was further decarbethoxylated to ketone (IV) upon heating in moist DMSO. Displacement of the chloride group of (III) with 4-piperidone ethylene ketal (V) furnished the piperidinyl pyridine (VI). Knoevenagel condensation of malononitrile with 3-bromobenzaldehyde (VII) using glycine as the catalyst produced the benzylidene malononitrile (VIII). The dipyridyl derivative (IX) was obtained by condensation of ketone (VI) with dinitrile (VIII) in the presence of ammonium acetate. Cyclization of amino nitrile (IX) in hot formamide gave rise to the pyridopyrimidine system (X). Ketone (XI) was then obtained by acid hydrolysis of the ethylene ketal function of (X). Finally, condensation of ketone (XI) with 4-tetrahydropyranyloxyamine (XII) yielded the title oxime.

Drug Information Express,Drug R&D,Chemical Database,Patent Search.
Copyright © 2006-2026 Drug Future. All rights reserved.Contact Us