【药物名称】ONO-4819.CD, ONO-4819
化学结构式(Chemical Structure):
参考文献No.41933
标题:5-Thia-omega-substd. phenyl-prostaglandin E derivs., process for producing the same and drugs containing the same as the active ingredient
作者:Ohuchida, S.; Maruyama, T. (Ono Pharmaceutical Co., Ltd.)
来源:EP 1097922; JP 2001089444; US 6462081; WO 0003980
合成路线图解说明:

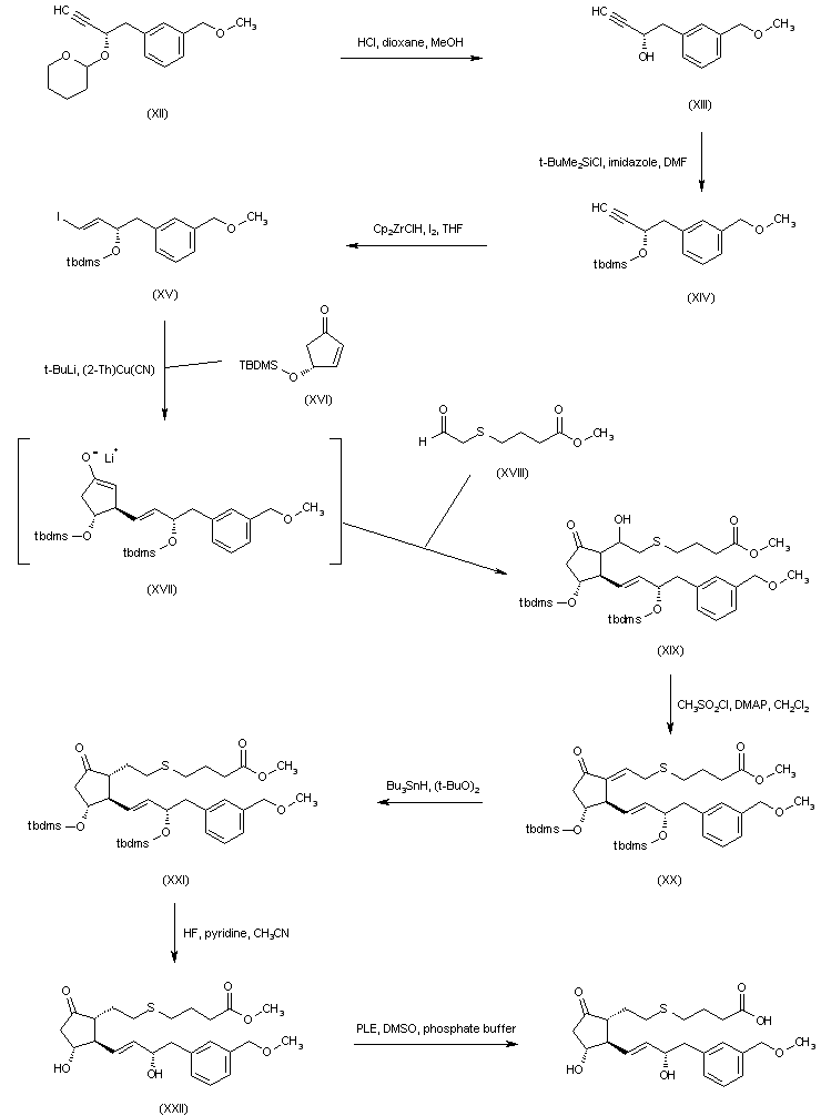
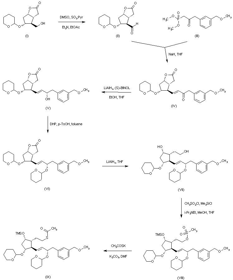
Treatment of 3-bromobenzyl bromide (I) with sodium methoxide gives 1-bromo-3-(methoxymethyl)benzene (II). After conversion of aryl bromide (II) into the corresponding Grignard reagent (III), addition to epoxide (IV) in the presence of CuI affords the chiral alcohol (V). Removal of the O-trityl protecting group of (V) under acidic conditions provides diol (VI), which is selectively acylated at the primary hydroxyl group by means of acetyl chloride and 2,4,6-collidine to produce the mono-acetate (VII). After protection of the secondary hydroxyl group of (VII) as the tetrahydropyranyl ether (VIII), alkaline hydrolysis of the acetate ester group leads to the primary alcohol (IX). Subsequent Swern oxidation of alcohol (IX) provides aldehyde (X). Condensation of aldehyde (X) with tetrabromomethane in the presence of triphenylphosphine furnishes the gem-dibromoolefin (XI). This is then converted to the terminal alkyne (XII) by treatment with butyllithium in cold THF.

合成路线图解说明:

The tetrahydropyranyl protecting group of (XII) is removed under acidic conditions, and the resultant alcohol (XIII) is then reprotected as the silyl ether (XIV) by treatment with tert-butyldimethylsilyl chloride and imidazole. Alkyne (XIV) is converted into the vinyl iodide (XV) employing zirconocene chloride hydride and iodine. Metalation of (XV) with tert-butyllithium and 2-(thienyl)cyanocuprate, followed by Michael addition to cyclopentenone (XVI) produces the intermediate enol adduct (XVII), which is further condensed with aldehyde (XVIII) to furnish the hydroxy ketone (XIX). Dehydration of (XIX) to enone (XX) is accomplished by treatment with methanesulfonyl chloride and 4-(dimethylamino)pyridine. Selective reduction of the conjugated olefin of (XX) with tributyltin hydride and tert-butyl peroxide leads to the saturated ketone (XXI). Then, desilylation of (XXI) with HF in pyridine produces diol (XXII). The methyl ester group of (XXII) is finally hydrolyzed to the target carboxylic acid by using pig liver esterase (PLE) in a buffered medium.

合成路线图解说明:

Bromine displacement in 3-bromobenzyl bromide (I) with sodium methoxide gives the methyl ether (II). Subsequent addition of the Grignard reagent prepared from aryl bromide (II) to (S)-O-trityl glycidol (III) in the presence of CuI affords alcohol (IV). Deprotection of the O-trityl group of (IV) under acidic conditions yields diol (V), which is selectively acetylated at the primary hydroxyl group with acetyl chloride and s-collidine in cold CH2Cl2. The resultant secondary alcohol (VI) is then protected as the tetrahydropyranyl ether (VII) upon treatment with dihydropyran and pyridinium p-toluenesulfonate. After basic hydrolysis of the acetate ester (VII), the liberated primary alcohol (VIII) is oxidized to aldehyde (IX) under Swern conditions. Condensation of aldehyde (IX) with carbon tetrabromide in the presence of triphenylphosphine produces the dibromovinyl adduct (X). Debromination of (X) by means of butyllithium in cold THF furnishes the terminal acetylene (XI).

合成路线图解说明:

After acidic cleavage of the tetrahydropyranyl group of (XI), the resultant alcohol (XII) is reprotected as the silyl ether (XIII). Hydroiodination of acetylene (XIII) is effected by treatment with iodine and zirconocene chloride hydride, yielding vinyl iodide (XIV). The organolithium derivative generated from iodide (XIV) undergoes conjugate addition to cyclopentenone (XV), producing the intermediate lithium enolate (XVI) which, upon quenching with aldehyde (XVII), leads to the substituted cyclopentanone adduct (XVIII). Dehydration of aldol (XVIII) to dienone (XIX) is performed by treatment with mesyl chloride and DMAP. The conjugated double bond of (XIX) is selectively reduced to (XX) by means of tributyltin hydride and t-butyl hydroperoxide. Finally, desilylation of (XX) with HF in pyridine affords the title prostaglandin derivative.

参考文献No.668952
标题:Design and synthesis of a selective EP4-receptor agonist. Part 3: 16-Phenyl-5-thiaPGE1 and 9-beta-halo derivatives with improved stability
作者:Maruyama, T.; Asada, M.; Shiraishi, T.; Yoshida, H.; Ohuchida, S.; Nakai, H.; Kondo, K.; Toda, M.
来源:Bioorg Med Chem 2002,10(6),1743
合成路线图解说明:

Treatment of 3-bromobenzyl bromide (I) with sodium methoxide gives 1-bromo-3-(methoxymethyl)benzene (II). After conversion of aryl bromide (II) into the corresponding Grignard reagent (III), addition to epoxide (IV) in the presence of CuI affords the chiral alcohol (V). Removal of the O-trityl protecting group of (V) under acidic conditions provides diol (VI), which is selectively acylated at the primary hydroxyl group by means of acetyl chloride and 2,4,6-collidine to produce the mono-acetate (VII). After protection of the secondary hydroxyl group of (VII) as the tetrahydropyranyl ether (VIII), alkaline hydrolysis of the acetate ester group leads to the primary alcohol (IX). Subsequent Swern oxidation of alcohol (IX) provides aldehyde (X). Condensation of aldehyde (X) with tetrabromomethane in the presence of triphenylphosphine furnishes the gem-dibromoolefin (XI). This is then converted to the terminal alkyne (XII) by treatment with butyllithium in cold THF.

合成路线图解说明:

The tetrahydropyranyl protecting group of (XII) is removed under acidic conditions, and the resultant alcohol (XIII) is then reprotected as the silyl ether (XIV) by treatment with tert-butyldimethylsilyl chloride and imidazole. Alkyne (XIV) is converted into the vinyl iodide (XV) employing zirconocene chloride hydride and iodine. Metalation of (XV) with tert-butyllithium and 2-(thienyl)cyanocuprate, followed by Michael addition to cyclopentenone (XVI) produces the intermediate enol adduct (XVII), which is further condensed with aldehyde (XVIII) to furnish the hydroxy ketone (XIX). Dehydration of (XIX) to enone (XX) is accomplished by treatment with methanesulfonyl chloride and 4-(dimethylamino)pyridine. Selective reduction of the conjugated olefin of (XX) with tributyltin hydride and tert-butyl peroxide leads to the saturated ketone (XXI). Then, desilylation of (XXI) with HF in pyridine produces diol (XXII). The methyl ester group of (XXII) is finally hydrolyzed to the target carboxylic acid by using pig liver esterase (PLE) in a buffered medium.

合成路线图解说明:

Bromine displacement in 3-bromobenzyl bromide (I) with sodium methoxide gives the methyl ether (II). Subsequent addition of the Grignard reagent prepared from aryl bromide (II) to (S)-O-trityl glycidol (III) in the presence of CuI affords alcohol (IV). Deprotection of the O-trityl group of (IV) under acidic conditions yields diol (V), which is selectively acetylated at the primary hydroxyl group with acetyl chloride and s-collidine in cold CH2Cl2. The resultant secondary alcohol (VI) is then protected as the tetrahydropyranyl ether (VII) upon treatment with dihydropyran and pyridinium p-toluenesulfonate. After basic hydrolysis of the acetate ester (VII), the liberated primary alcohol (VIII) is oxidized to aldehyde (IX) under Swern conditions. Condensation of aldehyde (IX) with carbon tetrabromide in the presence of triphenylphosphine produces the dibromovinyl adduct (X). Debromination of (X) by means of butyllithium in cold THF furnishes the terminal acetylene (XI).

合成路线图解说明:

After acidic cleavage of the tetrahydropyranyl group of (XI), the resultant alcohol (XII) is reprotected as the silyl ether (XIII). Hydroiodination of acetylene (XIII) is effected by treatment with iodine and zirconocene chloride hydride, yielding vinyl iodide (XIV). The organolithium derivative generated from iodide (XIV) undergoes conjugate addition to cyclopentenone (XV), producing the intermediate lithium enolate (XVI) which, upon quenching with aldehyde (XVII), leads to the substituted cyclopentanone adduct (XVIII). Dehydration of aldol (XVIII) to dienone (XIX) is performed by treatment with mesyl chloride and DMAP. The conjugated double bond of (XIX) is selectively reduced to (XX) by means of tributyltin hydride and t-butyl hydroperoxide. Finally, desilylation of (XX) with HF in pyridine affords the title prostaglandin derivative.

参考文献No.683227
标题:Design and synthesis of a selective EP4-receptor agonist. Part 4: Practical synthesis and biological evaluation of a novel highly selective EP4-receptor agonist
作者:Maruyama, T.; Kuwabe, S.I.; Kawanaka, Y.; Shiraishi, T.; Shinagawa, Y.; Sakata, K.; Seki, A.; Kishida, Y.; Yoshida, H.; Ohuchida, S.; Nakai, H.; Hashimoto, S.; Kawamura, M.; Kondo, K.; Toda, M.
来源:Bioorg Med Chem 2002,10(7),2103
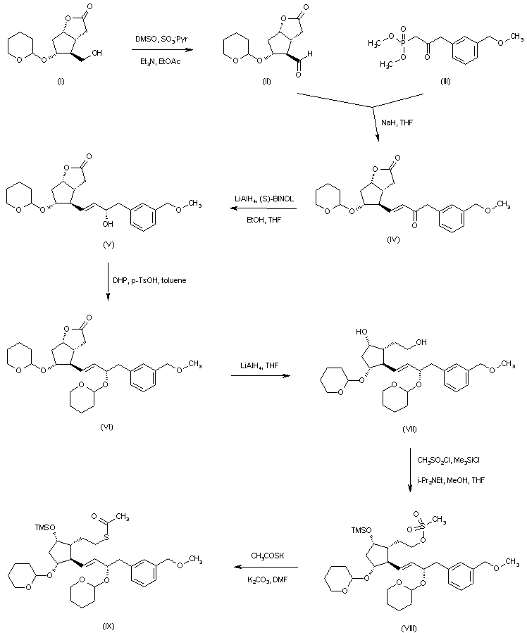
合成路线图解说明:

In an alternative method, oxidation of the lactone alcohol (I) using DMSO in the presence of SO3-pyridine complex gives aldehyde (II). Horner-Emmons condensation of aldehyde (II) with phosphonate (III) affords enone (IV). Stereoselective reduction of (IV) with LiAlH4 in the presence of (S)-BINOL provides the (S)-alcohol (V), which is further protected with dihydropyran in the presence of p-toluenesulfonic acid to yield the bis-tetrahydropyranyl ether (VI). Lactone ring opening in (VI) under reductive conditions leads to diol (VII). Selective mesylation of the primary alcohol of (VII), followed by protection of the secondary hydroxyl with chlorotrimethylsilane produces the intermediate mesylate (VIII), which is then displaced with potassium thioacetate to yield the thioacetate ester (IX).

合成路线图解说明:

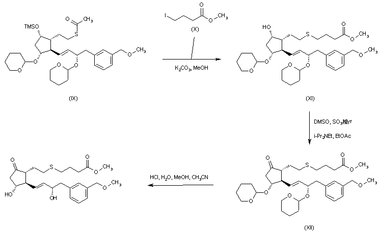
Methanolysis of the thioacetate and silyl ether groups of (IX), with concomitant S-alkylation by methyl 4-iodobutyrate (X) lead to thioether (XI). The deprotected alcohol function of (XI) is then oxidized to ketone (XII) under modified Swern conditions. Subsequent acidic hydrolysis of the tetrahydropyranyl ether groups of (XII) provide diol (XIII). Finally, hydrolysis of ester (XIII) to the target carboxylic acid is performed employing pig liver esterase.

合成路线图解说明:

Oxidation of the lactone alcohol (I) using DMSO in the presence of SO3-pyridine complex gives aldehyde (II). Horner-Emmons condensation of aldehyde (II) with phosphonate (III) affords enone (IV). Stereoselective reduction of (IV) with LiAlH4 in the presence of (S)-BINOL provides the (S)-alcohol (V), which is further protected with dihydropyran in the presence of p-toluenesulfonic acid to yield the bis-tetrahydropyranyl ether (VI). Lactone ring opening in (VI) under reductive conditions leads to diol (VII). Selective mesylation of the primary alcohol of (VII), followed by protection of the secondary hydroxyl with chlorotrimethylsilane produces the intermediate mesylate (VIII), which is then displaced with potassium thioacetate to yield the thioacetate ester (IX).

合成路线图解说明:

Methanolysis of the thioacetate and silyl ether groups of (IX), with concomitant S-alkylation by methyl 4-iodobutyrate (X) lead to thioether (XI). The deprotected alcohol function of (XI) is then oxidized to ketone (XII) under modified Swern conditions. Finally, acidic hydrolysis of the tetrahydropyranyl ether groups of (XII) provide the title diol.

Drug Information Express,Drug R&D,Chemical Database,Patent Search.
Copyright © 2006-2026 Drug Future. All rights reserved.Contact Us