【药物名称】Procyanidin B-2
化学结构式(Chemical Structure):
参考文献No.41795
标题:Synthetic methods for polyphenols
作者:Lippman, M.E.; Kozikowski, A.P.; Tueckmantel, W.; Romanczyk, L.J. Jr. (Mars, Inc.)
来源:WO 9919319
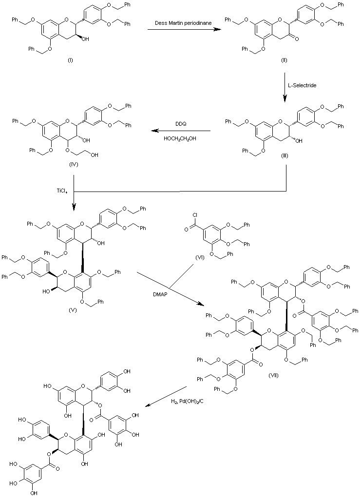
合成路线图解说明:

The oxidation of 5,7-bis(benzyloxy)-2(R)-[3,4-bis(benzyloxyphenyl]-3,4-dihydro-2H-1-benzopyran-3(S)-ol with Dess Martin periodinane (DMP) in dichloromethane gives the corresponding ketone (II), which is reduced with L-Selectride in THF yielding the 5,7-bis(benzyloxy)-2(R)-[3,4-bis(benzyloxyphenyl]-3,4-dihydro-2H-1-benzopyran-3(R)-ol (III). The oxidation of (III) with DDQ in presence of ethylene glycol affords the 2-hydroxyethoxy derivative (IV), which is condensed with (III) by means of titanium tetrachloride in THF/dichloromethane yielding the dihydroxylated dimer (V). The esterification of both hydroxyls of (V) with 3,4,5-tris(benzyloxy)benzoyl chloride (VI) by means of DMAP in pyridine affords the fully protected target compound (VII), which is finally debenzylated by hydrogenolysis with H2 over Pd/C in methanol/water.

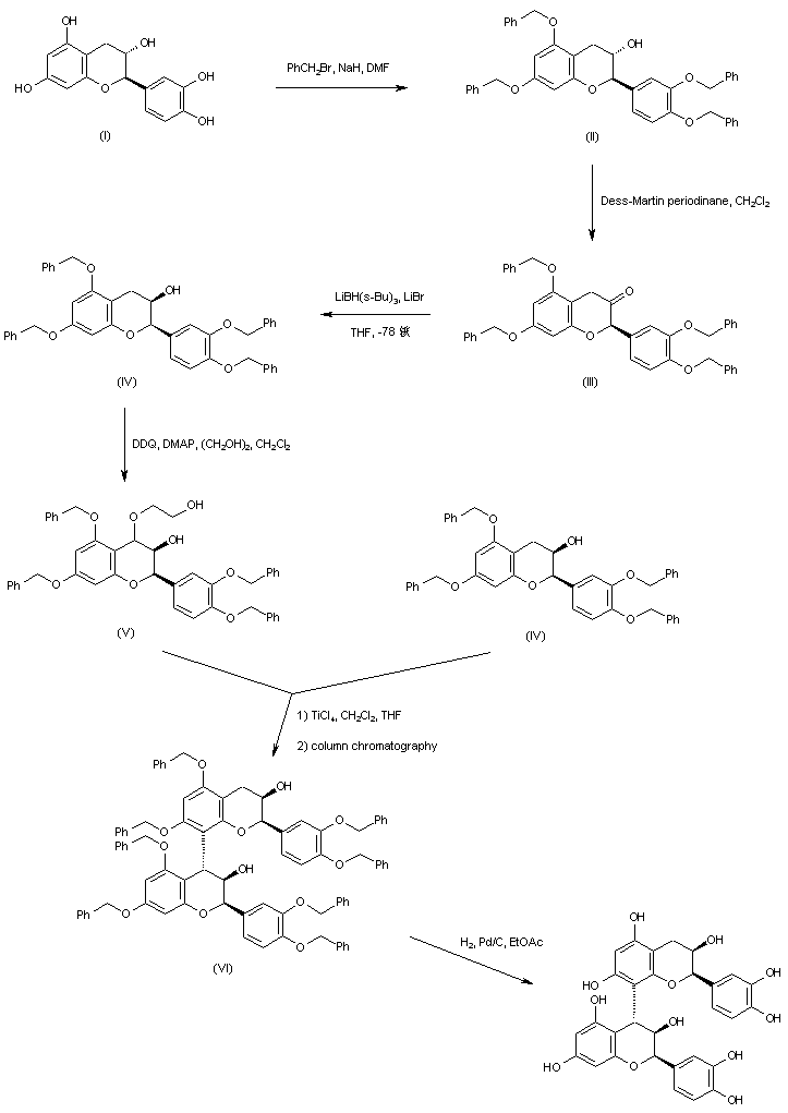
合成路线图解说明:

Protection of (+)-catechin (I) with benzyl bromide gives the tetra-O-benzylcatechin (II). Epimerization of (II) in then accomplished by oxidation to ketone (III), using the Dess-Martin periodinane reagent, followed by ketone reduction with L-selectride to furnish the tetra-O-benzyl epicatechin (IV). Oxidation of (IV) with DDQ in the presence of ethyleneglycol gives rise to the 4-(hydroxyethoxy) derivative (V). Subsequent coupling between tetra-O-benzyl epicatechin (IV) and the 4-(hydroxyethoxy) derivative (V) in the presence of TiCl4 produces a mixture of epicatechin oligomers, from which the desired benzyl-protected dimeric compound (VI) is isolated by column chromatography. Finally, deprotection of the octa-benzyl ether (VI) is effected by hydrogenolysis in the presence of Pd/C.

参考文献No.59258
标题:Synthetic methods for preparing procyanidin oligomers
作者:Townsend, C.A.; Romanczyk, L.J.; Basak, A. (Mars, Inc.)
来源:WO 0063201
合成路线图解说明:

Epicatechin (I) is protected as the tetra-O-benzyl analogue (II) by treatment with benzyl bromide and K2CO3. Oxidation of (II) by means of lead tetraacetate produces the 4-acetoxy derivative (III). Subsequent coupling between (III) and epicatechin (I) in the presence of LiBr provides the tetra-O-benzyl dimer (IV). This is finally debenzylated by catalytic hydrogenation over Pd/C.

参考文献No.710898
标题:Oligomeric flavonoids. Part 27. Interflavanyl bond formation in procyanidins under neutral conditions
作者:Steynberg, P.J.; et al.
来源:Tetrahedron 1998,54(28),8153
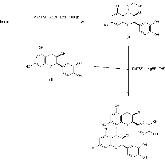
合成路线图解说明:

Treatment of a loblolly pine purified tannin with benzyl mercaptan provides 4-beta-(benzylsulfanyl)epicatechin (I). Subsequent coupling of (I) with epicatechin (II) in the presence of either dimethyl(methylsulfanyl)sulfonium tetrafluoroborate (DMTSF) or silver tetrafluoroborate furnishes the target dimeric procyanidin.

Drug Information Express,Drug R&D,Chemical Database,Patent Search.
Copyright © 2006-2026 Drug Future. All rights reserved.Contact Us