【药物名称】
化学结构式(Chemical Structure):
参考文献No.629090
标题:Discovery of (R)-1-[2-hydroxy-3-(4-hydroxy-phenyl)-propyl]-4-(4-methyl-benzyl)-piperidin-4-ol: A novel NR1/2B subtype selective NMDA receptor antagonist
作者:Pinard, E.; Alanine, A.; Bourson, A.; Buttelmann, B.; Gill, R.; Heitz, M.-P.; Jaeschke, G.; Mutel, V.; Trube, G.; Wyler, R.
来源:Bioorg Med Chem Lett 2001,11(16),2173
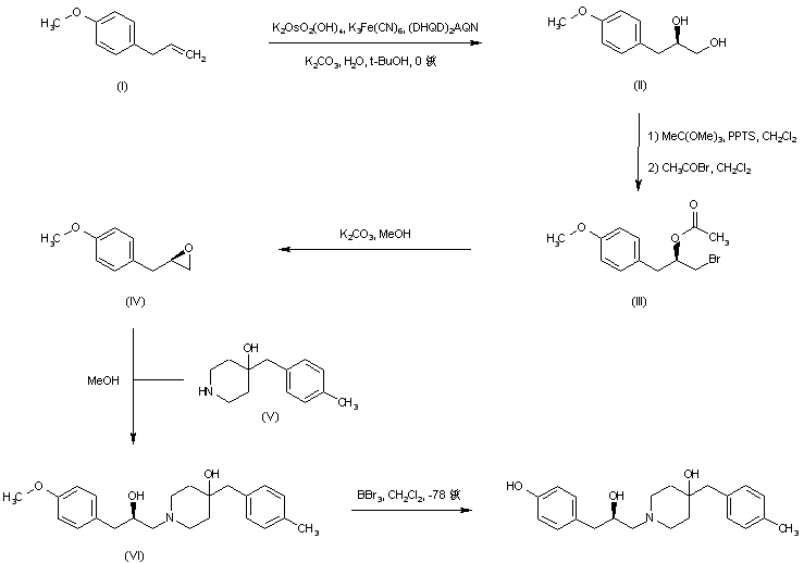
合成路线图解说明:

Sharpless asymmetric catalytic dihydroxylation of 4-allylanisole (I) using (DHQD)2AQN as the chiral ligand provided diol (II). Condensation of diol (II) with trimethyl orthoacetate in the presence of pyridinium tosylate, followed by treatment with acetyl bromide, afforded bromo ester (III), which was subsequently transformed into the chiral epoxide (IV) with K2CO3 in MeOH. Epoxide (IV) opening with 4-(4-methylbenzyl)piperidin-4-ol (V) gave amino alcohol (VI). The methyl ether group of (VI) was finally cleaved by treatment with boron tribromide.

Drug Information Express,Drug R&D,Chemical Database,Patent Search.
Copyright © 2006-2026 Drug Future. All rights reserved.Contact Us