【药物名称】VRC-4307
化学结构式(Chemical Structure):
参考文献No.49840
标题:Novel urea cpds., compsns. and methods of use and preparation
作者:Patel, D.V.; Jacobs, J.W.; Lewis, J.; Ni, Z.-J. (Versicor, Inc.)
来源:WO 0144178
合成路线图解说明:

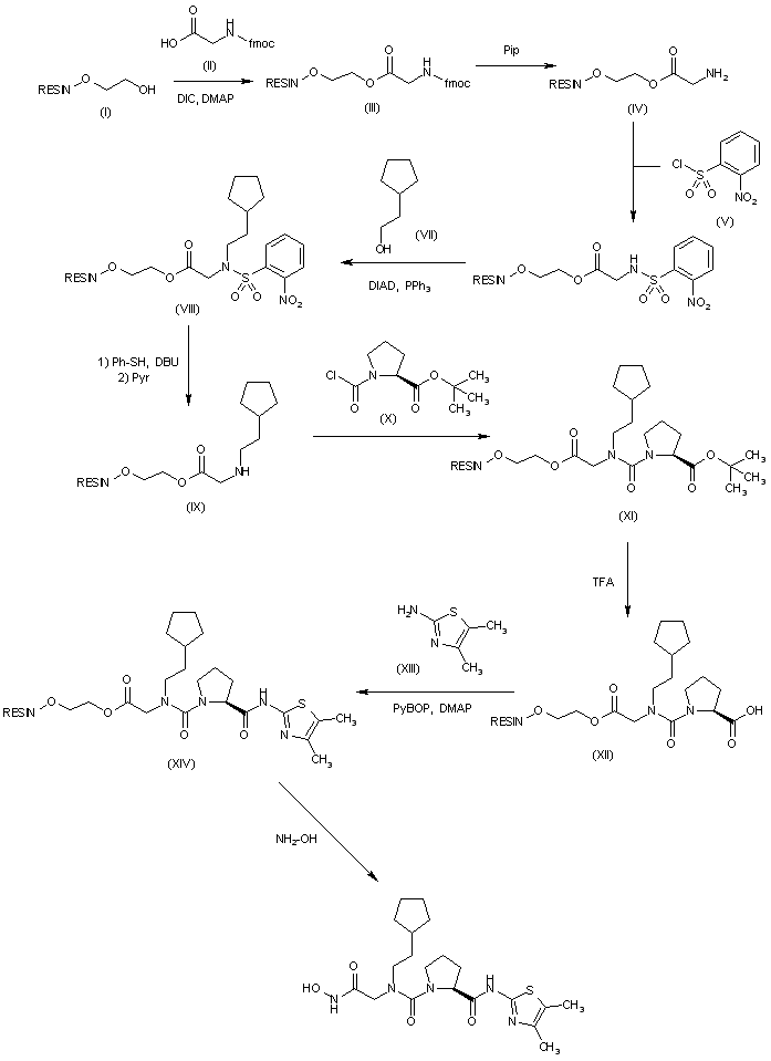
The condensation of ArgoGel-OH resin (I) with N-(Fmoc)-glycine (II) by means of DIC and DMAP gives the resin-bound Fmoc-glycine (III), which is deprotected with piperidine to yield the resin-bound glycine (IV). The reaction of (IV) with 2-nitrophenylsulfonyl chloride (V) affords the sulfonamide (VI), which is alkylated with 2-cyclopentylethanol (VII) by means of DIAD and PPh3 to provide the N-alkylated sulfonamide (VIII). The reaction of (VIII) with Ph-SH, DBU and pyridine gives the N-alkylated resin-bound glycine (IX), which is condensed with 1-(chlorocarbonyl)-L-proline tert-butyl ester (X) to yield the resin-bound dipeptide tert-butyl ester (XI). Hydrolysis of the ester group of (XI) with TFA affords the free resin-bound dipeptide (XII), which is condensed with 4,5-dimethylthiazole-2-amine (XIII) by means of PyBOP and DMAP to provide the corresponding prolinamide (XIV). Finally, this compound is treated with hydroxylamine in order to cleave the title compound from the resin by formation of the desired hydroxamic acid.

参考文献No.645054
标题:Iterative parallel synthesis-derived N-alkyl urea hydroxamic acids: A new class of peptide deformylase inhibitors
作者:Lewis, J.G.; Wu, C.; Jacobs, J.; et al.
来源:41st Intersci Conf Antimicrob Agents Chemother (Dec 16 2001, Chicago) 2001,Abst F-358
合成路线图解说明:

The condensation of ArgoGel-OH resin (I) with N-(Fmoc)-glycine (II) by means of DIC and DMAP gives the resin-bound Fmoc-glycine (III), which is deprotected with piperidine to yield the resin-bound glycine (IV). The reaction of (IV) with 2-nitrophenylsulfonyl chloride (V) affords the sulfonamide (VI), which is alkylated with 2-cyclopentylethanol (VII) by means of DIAD and PPh3 to provide the N-alkylated sulfonamide (VIII). The reaction of (VIII) with Ph-SH, DBU and pyridine gives the N-alkylated resin-bound glycine (IX), which is condensed with 1-(chlorocarbonyl)-L-proline tert-butyl ester (X) to yield the resin-bound dipeptide tert-butyl ester (XI). Hydrolysis of the ester group of (XI) with TFA affords the free resin-bound dipeptide (XII), which is condensed with 4,5-dimethylthiazole-2-amine (XIII) by means of PyBOP and DMAP to provide the corresponding prolinamide (XIV). Finally, this compound is treated with hydroxylamine in order to cleave the title compound from the resin by formation of the desired hydroxamic acid.

Drug Information Express,Drug R&D,Chemical Database,Patent Search.
Copyright © 2006-2026 Drug Future. All rights reserved.Contact Us