【药物名称】
化学结构式(Chemical Structure):
参考文献No.629165
标题:Piperazine-based CCR5 antagonists as HIV-1 inhibitors. I: 2(S)-methyl piperazine as a key pharmacophore element
作者:Tagat, J.R.; McCombie, S.W.; Steensma, R.W.; Lin, S.; Nazareno, D.V.; Baroudy, B.M.; Vantuno, N.; Xu, S.; Liu, J.
来源:Bioorg Med Chem Lett 2001,11(16),2143
合成路线图解说明:

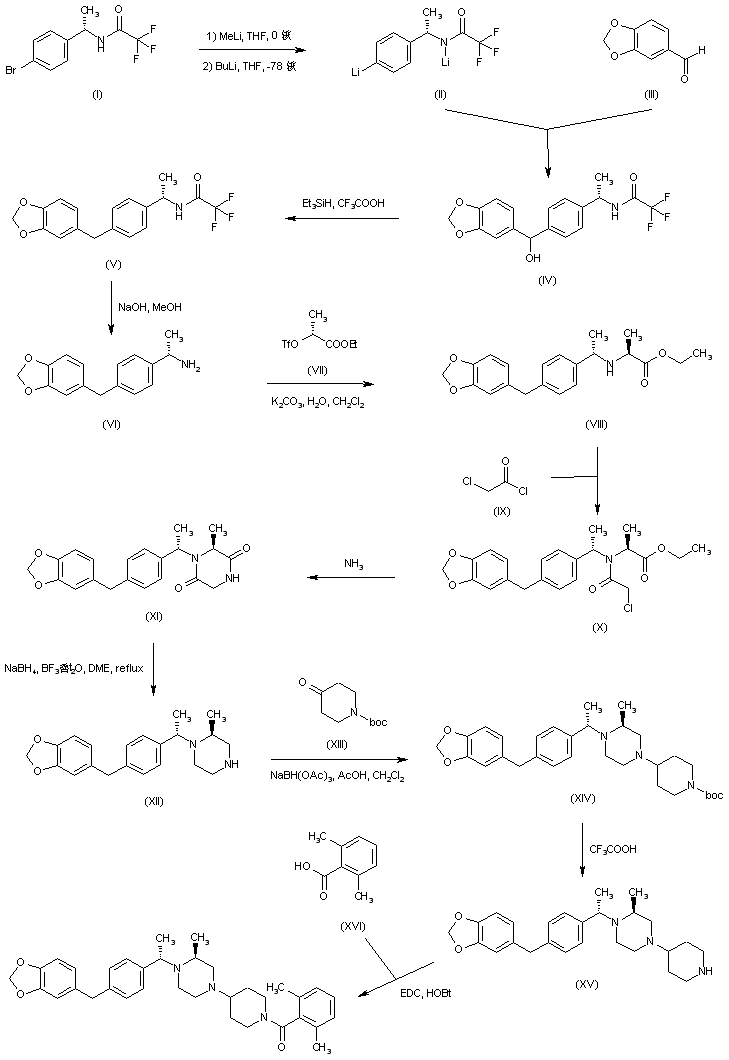
The lithium derivative (II), prepared from p-bromo-alpha-methylbenzylamine (I), was added to piperonal (III) to obtain the diaryl carbinol (IV), which was further deoxygenated to (V) using triethylsilane and trifluoroacetic acid. Basic hydrolysis of the trifluoroacetamide function of (V) provided amine (VI). This was then alkylated with the chiral triflate (VII) to afford amino ester (VIII). Subsequent acylation of amine (VIII) with chloroacetyl chloride (IX), followed by cyclization of the resulting chloroacetamide (X) with ammonia, led to the diketopiperazine (XI). Reduction of the carbonyl groups of (XI), followed by reductive amination of the resulting piperazine (XII) with N-Boc-4-piperidinone (XIII), gave the piperidinyl piperazine (XIV). After acidic Boc group cleavage of (XIV), the resulting piperidine (XV) was finally condensed with 2,6-dimethylbenzoic acid (XVI) to yield the target benzamide.

Drug Information Express,Drug R&D,Chemical Database,Patent Search.
Copyright © 2006-2026 Drug Future. All rights reserved.Contact Us