【药物名称】
化学结构式(Chemical Structure):
参考文献No.50604
标题:Substd. benzofuranoindoles and indenoindoles as novel potassium channel openers
作者:Butera, J.A.; Antane, S.A.; Lennox, J.R. (Wyeth)
来源:EP 1135393; US 6288099; WO 0034285
合成路线图解说明:

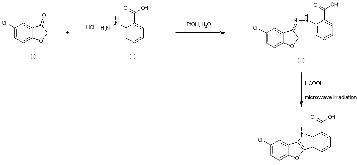
The condensation between 5-chloro-3(2H)benzofuranone (I) and 2-hydrazinobenzoic acid (II) afforded the corresponding hydrazone (III). This was subjected to microwave-promoted Fischer indole cyclization in formic acid to produce the target benzofuroindole tetracyclic system.

参考文献No.629159
标题:Synthesis and potassium channel opening activity of substituted 10H-benzo[4,5]furo[3,2-b]indole- and 5,10-dihydro-indeno[1,2-b]indole-1-carboxylic acids
作者:Butera, J.A.; Antane, S.A.; Hirth, B.H.; Lennox, J.R.; Sheldon, J.H.; Norton, N.W.; Warga, D.; Argentieri, T.M.
来源:Bioorg Med Chem Lett 2001,11(16),2093
合成路线图解说明:

The condensation between 5-chloro-3(2H)benzofuranone (I) and 2-hydrazinobenzoic acid (II) afforded the corresponding hydrazone (III). This was subjected to microwave-promoted Fischer indole cyclization in formic acid to produce the target benzofuroindole tetracyclic system.

Drug Information Express,Drug R&D,Chemical Database,Patent Search.
Copyright © 2006-2026 Drug Future. All rights reserved.Contact Us