【药物名称】
化学结构式(Chemical Structure):
参考文献No.38249
标题:Amino acid derivs.
作者:Seko, T.; Kato, M. (Ono Pharmaceutical Co., Ltd.)
来源:EP 0997147; WO 9902146
合成路线图解说明:

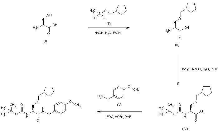
Alkylation of L-cysteine (I) with cyclopentylmethyl methanesulfonate (II) produced the cysteine thioether (III). A tert-butoxycarbonyl group was subsequently introduced into the amino group of (III) by using di-tert-butyl dicarbonate and NaOH. The resultant N-Boc-cysteine thioether (V) was finally coupled with p-methoxybenzylamine (VI) by means of EDC and HOBt to furnish the corresponding amide.

参考文献No.629162
标题:Structure-activity study and analgesic efficacy of amino acid derivatives as N-type calcium channel blockers
作者:Seko, T.; Kato, M.; Kohno, H.; Ono, S.; Hashimura, K.; Takimizu, H.; Nakai, K.; Maegawa, H.; Katsube, N.; Toda, M.
来源:Bioorg Med Chem Lett 2001,11(16),2067
合成路线图解说明:

Alkylation of L-cysteine (I) with cyclopentylmethyl methanesulfonate (II) produced the cysteine thioether (III). A tert-butoxycarbonyl group was subsequently introduced into the amino group of (III) by using di-tert-butyl dicarbonate and NaOH. The resultant N-Boc-cysteine thioether (V) was finally coupled with p-methoxybenzylamine (VI) by means of EDC and HOBt to furnish the corresponding amide.

Drug Information Express,Drug R&D,Chemical Database,Patent Search.
Copyright © 2006-2026 Drug Future. All rights reserved.Contact Us