【药物名称】
化学结构式(Chemical Structure):
参考文献No.49916
标题:Lipopeptides as antibacterial agents
作者:Watson, A.D.; Hill, J.; Zhang, Y.; Finn, J.; Yu, X.Y.; Keith, D.; Morytko, M.; Parr, I.; Siedlecki, J.; Silverman, J.; Christensen, D.; Lazarova, T. (Cubist Pharmaceuticals, Inc.)
来源:WO 0144274
合成路线图解说明:

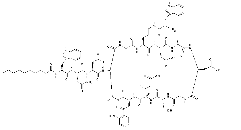
Daptomycin (I) was obtained as a fermentation product from Streptomyces roseosporus. Selective acylation of (I) at the lysine side-chain amino group by means of N-Boc-tryptophan activated as either the pentafluorophenyl (II) or the p-nitrophenyl ester (III) furnished the corresponding tryptophan amide (IV).

合成路线图解说明:

The N-Boc group of (IV) was then removed by treatment with trifluoroacetic acid in the presence of thioanisole or in the presence of ethanedithiol and triethylsilane to furnish the desired lipodepsipeptide.

合成路线图解说明:

The title compound is prepared by reductive alkylation of daptomycin (I) with 2 imidazolecarboxaldehyde (II) in the presence of NaBH(OAc)3 in DMF.

参考文献No.646157
标题:Novel lipopeptides 1: Synthesis and biological activity of ornithine amino amide analogs of daptomycin
作者:Silverman, J.; Finn, J.; Keith, T.L.D.; Hill, J.M.; Parr, I.; Morytko, M.; Oliver, N.; Laganas, V.; Yu, X.
来源:41st Intersci Conf Antimicrob Agents Chemother (Dec 16 2001, Chicago) 2001,Abst F-1150
合成路线图解说明:

Daptomycin (I) was obtained as a fermentation product from Streptomyces roseosporus. Selective acylation of (I) at the lysine side-chain amino group by means of N-Boc-tryptophan activated as either the pentafluorophenyl (II) or the p-nitrophenyl ester (III) furnished the corresponding tryptophan amide (IV).

合成路线图解说明:

The N-Boc group of (IV) was then removed by treatment with trifluoroacetic acid in the presence of thioanisole or in the presence of ethanedithiol and triethylsilane to furnish the desired lipodepsipeptide.

参考文献No.777998
标题:Synthesis and biological activity of N-Acylated ornithine analogues of daptomycin
作者:Hill, J.; Siedlecki, J.; Parr, I.; Morytko, M.; Yu, X.; Zhang, Y.; Silverman, J.; Controneo, N.; Laganas, V.; Li, T.; Lai, J.-J.; Keith, D.; Shimer, G.; Finn, J.
来源:Bioorg Med Chem Lett 2003,13(23),4187
合成路线图解说明:

Daptomycin (I) was obtained as a fermentation product from Streptomyces roseosporus. Selective acylation of (I) at the lysine side-chain amino group by means of N-Boc-tryptophan activated as either the pentafluorophenyl (II) or the p-nitrophenyl ester (III) furnished the corresponding tryptophan amide (IV).

Drug Information Express,Drug R&D,Chemical Database,Patent Search.
Copyright © 2006-2026 Drug Future. All rights reserved.Contact Us