【药物名称】Frederine
化学结构式(Chemical Structure):
参考文献No.628829
标题:Synthesis of novel 3,7-substituted-2-(3',4'-dihydroxyphenyl) flavones with improved antioxidant activity
作者:van Acker, F.A.; Hageman, J.A.; Haenen, G.R.; van Der Vijgh, W.J.; Bast, A.; Menge, W.M.
来源:J Med Chem 2000,43(20),3752
合成路线图解说明:

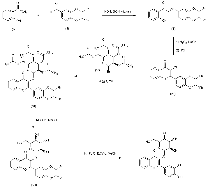
Claisen condensation between 2'-hydroxyacetophenone (I) and 3,4-dibenzyloxybenzaldehyde (II) afforded chalcone (III) which was further subjected to the Agar-Flynn-Oyamada reaction to give flavonol (IV). The silver oxide-assisted glycosylation of (IV) with acetobromoglucose (V) in pyridine furnished the protected glucoside (VI). Removal of the acetyl protecting groups of (VI) was effected by methanolysis in the presence of potassium tert-butoxide to yield (VII). Subsequent catalytic hydrogenolysis of the benzyl groups of (VII) provided the title compound.

Drug Information Express,Drug R&D,Chemical Database,Patent Search.
Copyright © 2006-2026 Drug Future. All rights reserved.Contact Us