【药物名称】
化学结构式(Chemical Structure):
参考文献No.38571
标题:Substd. quinazoline derivs. and their use as tyrosine kinase inhibitors
作者:Wissner, A.; Johnson, B.D.; Zhang, N.; Tsou, H.-R.; Hamann, P.R. (American Cyanamid Co.)
来源:EP 1000039; JP 2001515071; WO 9909016
合成路线图解说明:

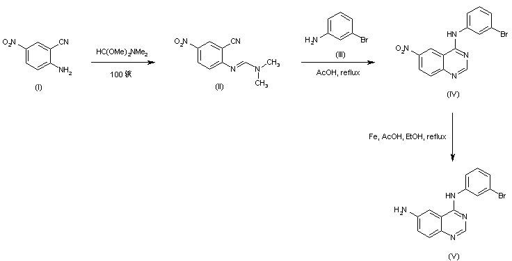
5-Nitroanthranilonitrile (I) was converted into the corresponding formamidine (II) using dimethylformamide dimethyl acetal. Heating a solution of formamidine (II) and 3-bromoaniline (III) in HOAc gave the nitro quinazoline (IV). The nitro group of (IV) was then reduced with iron in HOAc to yield the intermediate amino quinazoline (V).

合成路线图解说明:

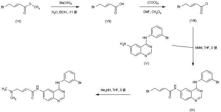
Methyl 4-bromocrotonate (VI) was hydrolyzed with barium hydroxide under controlled conditions and the resulting bromocrotonic acid (VII) was converted to the corresponding acid chloride (VIII) by treatment with oxalyl chloride. Condensation of acid chloride (VIII) with amino quinazoline (V) produced the bromocrotonamide (IX). Finally, nucleophilic displacement of the allylic bromine with dimethylamine provided the title compound.

参考文献No.628818
标题:6-Substituted-4-(3-bromophenylamino)quinazolines as putative irreversible inhibitors of the epidermal growth factor receptor (EGFR) and human epidermal growth factor receptor (HER-2) tyrosine kinases with enhanced antitumor activity
作者:Tsou, H.-R.; Mamuya, N.; Johnson, B.D.; Reich, M.F.; Gruber, B.C.; Ye, F.; Nilakantan, R.; Shen, R.; Discafani, C.; DeBlanc, R.; Davis, R.; Koehn, F.E.; Greenberger, L.M.; Wang, Y.F.; Wissner, A.
来源:J Med Chem 2001,44(17),2719
合成路线图解说明:

5-Nitroanthranilonitrile (I) was converted into the corresponding formamidine (II) using dimethylformamide dimethyl acetal. Heating a solution of formamidine (II) and 3-bromoaniline (III) in HOAc gave the nitro quinazoline (IV). The nitro group of (IV) was then reduced with iron in HOAc to yield the intermediate amino quinazoline (V).

合成路线图解说明:

Methyl 4-bromocrotonate (VI) was hydrolyzed with barium hydroxide under controlled conditions and the resulting bromocrotonic acid (VII) was converted to the corresponding acid chloride (VIII) by treatment with oxalyl chloride. Condensation of acid chloride (VIII) with amino quinazoline (V) produced the bromocrotonamide (IX). Finally, nucleophilic displacement of the allylic bromine with dimethylamine provided the title compound.

Drug Information Express,Drug R&D,Chemical Database,Patent Search.
Copyright © 2006-2026 Drug Future. All rights reserved.Contact Us