【药物名称】BMS-419437
化学结构式(Chemical Structure):
参考文献No.49860
标题:N-[5-[[[5-Alkyl-2-oxazolyl]methyl]thio]-2-thiazolyl]-carboxamide inhibitors of cyclin dependent kinases
作者:Kim, K.S.; Misra, R.N.; Hunt, J.T.; Kimball, S.D.; Poss, M.A.; Han, W.-C.; Webster, K.R.; Cai, Z.-W.; Rawlins, D.B. (Bristol-Myers Squibb Co.)
来源:EP 1240165; WO 0144241
合成路线图解说明:

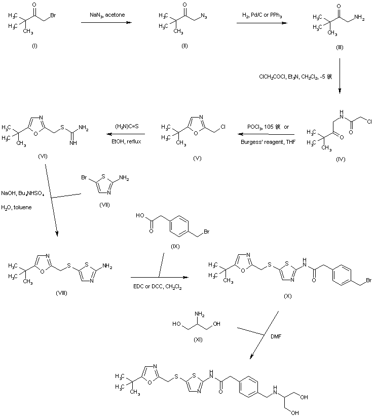
Substitution of 1-bromo-3,3-dimethyl-2-butanone (I) with NaN3 affords the azido ketone (II), which is reduced to amino ketone (III) by either catalytic hydrogenation or with triphenylphosphine. Acylation of (III) with chloroacetyl chloride affords amide (IV). Cyclization of the keto amide (IV) in hot POCl3 or in the presence of Burgess' reagent leads to the chloromethyl oxazole (V). Displacement of the chlorine atom of (V) with thiourea provides the S-alkyl isothiourea (VI). Hydrolysis of (VI), followed by condensation with 2-amino-5-bromothiazole (VII) under phase-transfer conditions furnishes thioether (VIII). The amino thiazole (VIII) is then coupled with 4-(bromomethyl)phenylacetic acid (IX), yielding amide (X). Finally, the bromide group of (X) is displaced with 2-amino-1,3-propanediol (XI) to produce the title compound.

Drug Information Express,Drug R&D,Chemical Database,Patent Search.
Copyright © 2006-2026 Drug Future. All rights reserved.Contact Us