【药物名称】
化学结构式(Chemical Structure):
参考文献No.44787
标题:Platinum(II) cpds.
作者:Lowe, G. (Isis Innovation Ltd.)
来源:EP 1155025; WO 0050431
合成路线图解说明:

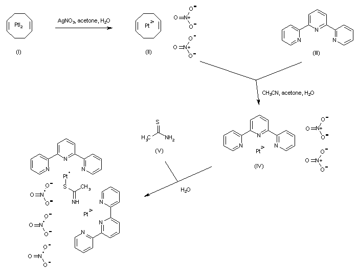
The exchange reaction of (1,5-cyclooctadiene)diiodoplatinum (I) with silver nitrate produced the platinum nitrate derivative (II). Complexation of (II) with 2,2':6',2''-terpyridine (III) produced the terpyridine-platinum complex (IV), which was subsequently treated with thioacetamide (V) to furnish the title compound.

参考文献No.627518
标题:Human thioredoxin reductase is efficently inhibited by (2,2':6',2''-terpyridine)platinum(II) complexes. Possible implications for a novel antitumor strategy
作者:Becker, K.; Herold-Mende, C.; Park, J.J.; Lowe, G.; Schirmer, R.H.
来源:J Med Chem 2001,44(17),2784
合成路线图解说明:

The exchange reaction of (1,5-cyclooctadiene)diiodoplatinum (I) with silver nitrate produced the platinum nitrate derivative (II). Complexation of (II) with 2,2':6',2''-terpyridine (III) produced the terpyridine-platinum complex (IV), which was subsequently treated with thioacetamide (V) to furnish the title compound.

Drug Information Express,Drug R&D,Chemical Database,Patent Search.
Copyright © 2006-2026 Drug Future. All rights reserved.Contact Us