【药物名称】
化学结构式(Chemical Structure):
参考文献No.627515
标题:Synthesis and in vitro and in vivo antimalarial activity of new 4-anilinoquinolines
作者:Delareu, S.; Girault, S.; Maes, L.; Debreu-Fontaine, M.A.; Labaeid, M.; Grellier, P.; Sergheraert, C.
来源:J Med Chem 2001,44(17),2827
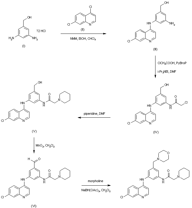
合成路线图解说明:

The intermediate anilinoquinoline (III) was obtained by nucleophilic substitution of 4,7-dichloroquinoline (II) with 3,5-diaminobenzyl alcohol (I) in the presence of N-methylmorpholine. Coupling of (III) with chloroacetic acid gave the corresponding chloroacetamide (IV), which was further reacted with piperidine in DMF, yielding the piperidino acetamide (V). The benzyl alcohol function of (V) was then oxidized to aldehyde (VI) employing manganese dioxide. Finally, reductive condensation of aldehyde (VI) with morpholine in the presence of NaBH(OAc)3 furnished the title compound.

Drug Information Express,Drug R&D,Chemical Database,Patent Search.
Copyright © 2006-2026 Drug Future. All rights reserved.Contact Us