【药物名称】
化学结构式(Chemical Structure):
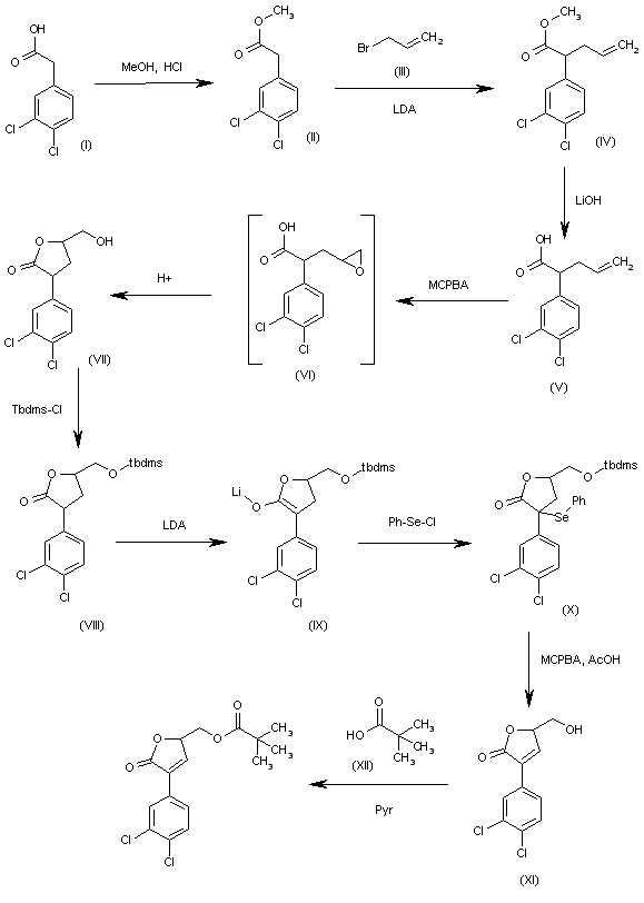
参考文献No.627513
标题:3-Phenyl-5-acyloxymethyl-2H,5H-furan-2-ones: Synthesis and biological activity of a novel group of potential antifungal drugs
作者:Pour, M.; Spulak, M.; Buchta, V.; Kubanova, P.; Voprsalova, M.; Wsol, V.; Fakova, H.; Koudelka, P.; Pourova, H.; Schiller, R.
来源:J Med Chem 2001,44(17),2701
合成路线图解说明:

The esterification of 3,4-dichlorophenylacetic acid (I) with methanol and ClH gives the methyl ester (II), which is alkylated with allyl bromide and LDA in THF to yield 2-(3,4-dichlorophenyl)-4-pentenoic acid methyl ester (IV). The hydrolysis of (IV) with LiOH in MeOH/water affords the corresponding free acid (V), which is epoxidated with MCPBA in refluxing chloroform to provide epoxide (VI), which, without isolation, is treated in acid medium, giving the tetrahydrofuranone (VII). The silylation of the OH group of (VII) with Tbdms-Cl and imidazole in DMF yields the protected silyl ether (VIII), which is treated with LDA in THF to afford the lithium enolate (IX). The reaction of (IX) with phenylselenyl chloride in THF provides the phenylselenyl derivative (X), which is oxidized with MCPBA to the corresponding selenoxide. This nonisolated compound undergoes spontaneous syn elimination to give, after hydrolysis of the silyl ether with AcOH, 3-(3,4-dichlorophenyl)-5-(hydroxymethyl)furan-2(5H)-one (XI). Finally, this compound is esterified with pivaloyl chloride and pyridine in dichloromethane to afford the target ester.

Drug Information Express,Drug R&D,Chemical Database,Patent Search.
Copyright © 2006-2026 Drug Future. All rights reserved.Contact Us