【药物名称】Org-25543
化学结构式(Chemical Structure):
参考文献No.627509
标题:The first potent and selective inhibitors of the glycine transporter type 2
作者:Caulfield, W.L.; Collie, I.T.; Dickins, R.S.; Epemolu, O.; McGuire, R.; Hill, D.R.; McVey, G.; Morphy, J.R.; Rankovic, Z.; Sundaram, H.
来源:J Med Chem 2001,44(17),2679
合成路线图解说明:

Aminonitrile (II) was prepared by Strecker reaction of cyclopentanone (I) with potassium cyanide and dimethylamine hydrochloride. Subsequent reduction of (II) with alane, generated in situ from LiAlH4 and H2SO4, produced diamine (III).

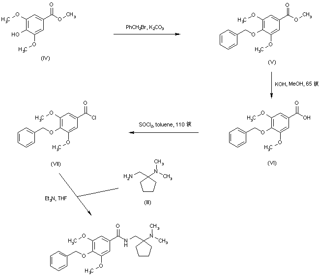
合成路线图解说明:

Alkylation of methyl 4-hydroxy-3,5-dimethoxybenzoate (IV) with benzyl bromide afforded the corresponding 4-benzyloxy derivative (V). After basic hydrolysis of the methyl ester group of (V), the resultant carboxylic acid (VI) was converted to acid chloride (VII) using thionyl chloride in refluxing toluene. Then, acylation of diamine (III) with acid chloride (VII) afforded the title amide.

Drug Information Express,Drug R&D,Chemical Database,Patent Search.
Copyright © 2006-2026 Drug Future. All rights reserved.Contact Us