【药物名称】
化学结构式(Chemical Structure):
参考文献No.48169
标题:Inhibitors of prenyl-protein transferase
作者:Beshore, D.C.; Bell, I.M.; Gallicchio, S.N.; Sisko, J.T.; Zartman, C.B.; Lumma, W.C. Jr. (Merck & Co., Inc.)
来源:WO 0117992
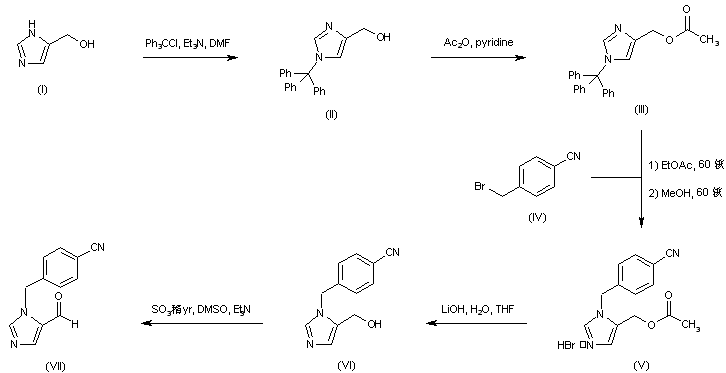
合成路线图解说明:

4-(Hydroxymethyl)imidazole (I) was protected as the 1-trityl derivative (II) by treatment with triphenylmethyl chloride. The hydroxyl group of (II) was then esterified with Ac2O in pyridine to yield acetate (III). After N-alkylation of (III) with 4-cyanobenzyl bromide (IV), the intermediate imidazolium bromide was deprotected by refluxing in MeOH to give (V). Subsequent hydrolysis of the acetate ester with LiOH provided alcohol (VI), which was oxidized to aldehyde (VII) under Swern conditions employing DMSO in the presence of SO3-pyridine complex.

合成路线图解说明:

Coupling of N-Boc-L-methionine (VIII) with 3-chlorobenzylamine (IX) using PyBOP provided amide (X). Methylation of the sulfide group of (X) with iodomethane gave rise to the sulfonium salt (XI), which was further cyclized to pyrrolidinone (XII) by treatment with lithium bis(trimethylsilyl)amide in cold THF. Acid deprotection of the Boc group of (XII) furnished amine (XIII). This was finally subjected to reductive alkylation with aldehyde (VII) in the presence of sodium cyanoborohydride to provide the corresponding (imidazolylmethyl)amine.

参考文献No.628724
标题:Design and biological activity of (S)-4-(5-{[1-(3-chlorobenzyl)-2-oxopyrrolidin-3-ylamino]methyl}imidazol-1-ylmethyl)benzonitrile, a 3-aminopyrrolidinone farnesyltransferase inhibitor with excellent cell potency
作者:Bell, I.M.; Gallicchio, S.N.; Abrams, M.J.; Beshore, D.C.; Buser, C.A.; Culberson, J.C.; Davide, J.; Ellis-Hutchings, M.; Fernandes, C.; Gibbs, J.B.; Graham, S.L.; Hartman, G.D.; Heimbrook, D.C.; Homnick, C.F.; Huff, J.R.; Kassahun, K.; et al.
来源:J Med Chem 2001,44(18),2933
合成路线图解说明:

Coupling of N-Boc-L-methionine (VIII) with 3-chlorobenzylamine (IX) using PyBOP provided amide (X). Methylation of the sulfide group of (X) with iodomethane gave rise to the sulfonium salt (XI), which was further cyclized to pyrrolidinone (XII) by treatment with lithium bis(trimethylsilyl)amide in cold THF. Acid deprotection of the Boc group of (XII) furnished amine (XIII). This was finally subjected to reductive alkylation with aldehyde (VII) in the presence of sodium cyanoborohydride to provide the corresponding (imidazolylmethyl)amine.

Drug Information Express,Drug R&D,Chemical Database,Patent Search.
Copyright © 2006-2026 Drug Future. All rights reserved.Contact Us