【药物名称】FAUC-213
化学结构式(Chemical Structure):
参考文献No.627510
标题:Rationally based efficacy tuning of selective dopamine D4 receptor ligands leading to the complete antagonist 2-[4-(4-chlorophenyl) piperazin-1-ylmethyl]pyrazolo[1,5-a]pyridine (FAUC 213)
作者:L鯾er, S.; Hubner, H.; Utz, W.; Gmeiner, P.
来源:J Med Chem 2001,44(17),2691
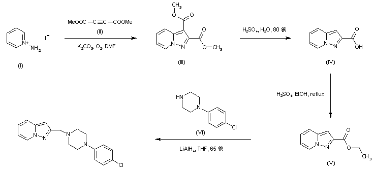
合成路线图解说明:

The 1,3-dipolar cycloaddition of N-aminopyridinium iodide (I) to dimethyl acetylenedicarboxylate (II) afforded the pyrazolopyridine system (III). Ester groups hydrolysis and regioselective decarboxylation of (III) with hot 50% sulfuric acid gave the mono-carboxylic acid (IV), which was further esterified with ethanol and sulfuric acid. Finally, reductive amination of the ethyl ester (V) with (p-chlorophenyl)piperazine (VI) in the presence of LiAlH4 provided the target compound.

Drug Information Express,Drug R&D,Chemical Database,Patent Search.
Copyright © 2006-2026 Drug Future. All rights reserved.Contact Us