【药物名称】NG-38
化学结构式(Chemical Structure):
参考文献No.627660
标题:Discovery of estrogen sulfotransferase inhibitors from a purine library screen
作者:Verdugo, D.E.; Cancilla, M.T.; Ge, X.; Gray, N.S.; Chang, Y.T.; Schultz, P.G.; Negishi, M.; Leary, J.A.; Bertozzi, C.R.
来源:J Med Chem 2001,44(17),2683
合成路线图解说明:

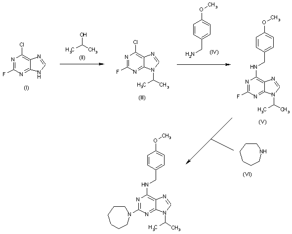
The alkylation of 6-chloro-2-fluoropurine (I) with isopropanol (II) under Mitsunobu conditions gives 6-chloro-2-fluoro-9-isopropylpurine (III), which is regioselectively alkylated at the 6 position with 4-methoxybenzylamine (IV) to yield 2-fluoro-9-isopropyl-N6-(4-methoxybenzyl)adenine (V). Finally, the 2-fluoro position of (V) is aminated with perhydroazepine (VI) in n-butanol at high temperature in a sealed tube to afford the target trisubstituted purine.

Drug Information Express,Drug R&D,Chemical Database,Patent Search.
Copyright © 2006-2026 Drug Future. All rights reserved.Contact Us