【药物名称】KR-60436
化学结构式(Chemical Structure):
参考文献No.38576
标题:Pyrrolo[3,2-c]quinoline derivs. containing haloalkoxy group and pharmaceutically acceptable salts thereof
作者:Kim, H.-J.; Kim, S.-S.; Yoo, Y.-K.; Kang, S.-K.; Cheon, H.-G.; Choi, J.-K.; Yum, E.-K. (Korea Research Institute of Chemical Technology)
来源:CA 2268166; EP 0966466; JP 2000504352; US 6011044; WO 9909029
合成路线图解说明:

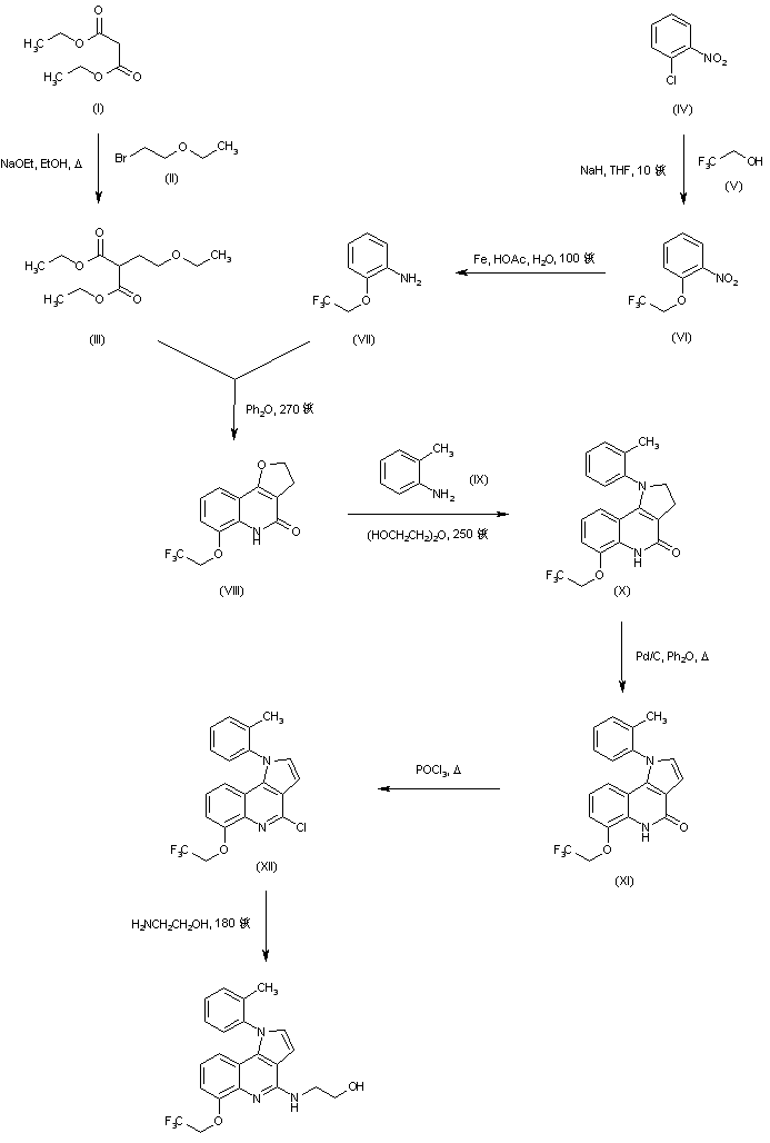
Diethyl malonate (I) was alkylated with 2-bromoethyl ethyl ether (II) in the presence of NaOEt to provide diethyl 2-(ethoxyethyl)malonate (III). Treatment of 2-chloronitrobenzene (IV) with 2,2,2-trifluoroethanol (V) afforded the trifluoroethyl ether (VI). Subsequent reduction of the nitro group of (VI) by means of iron in acetic acid gave aniline (VII), which was condensed with malonate (III) in refluxing diphenyl ether, yielding furoquinoline (VIII). Further reaction of (VIII) with o-toluidine (IX) in boiling diethylene glycol produced the tetrahydropyrroloquinoline (X). Aromatization of the pyrrole ring of (X) to give (XI) was achieved by dehydrogenation in diphenyl ether in the presence of Pd/C. Chloroquinoline (XII) was then obtained by chlorination of (XI) with POCl3. Finally, displacement of the chlorine atom of (XII) by means of ethanolamine at 180 C furnished the title compound.

合成路线图解说明:

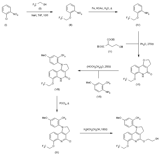
Reaction of 2-chloronitrobenzene (I) with the sodium alkoxide of 2,2,2-trifluoroethanol (II) in cold THF afforded trifluoroethyl ether (III). The nitro group of (III) was then reduced by means of iron and AcOH to produce 2-(trifluoroethoxy)aniline (IV). Condensation of (IV) with diethyl (2-ethoxyethyl)malonate (V) in boiling diphenyl ether led to the furoquinolinone system (VI), and subsequent reaction of (VI) with 2-methyl-4-methoxyaniline (VII) in refluxing diethylene glycol generated the pyrroloquinolinone (VIII). Chlorination of (VIII) with POCl3 gave chloropyrroloquinoline (IX). Finally, displacement of the chlorine of (IX) by ethanolamine at 180 C yielded the title compound.

合成路线图解说明:

Diethyl malonate (I) was alkylated with 2-bromoethyl ethyl ether (II) to provide diethyl (2-ethoxyethyl)malonate (III). Subsequent condensation of malonate (III) with 2-(trifluoromethoxy)aniline (IV) in boiling diphenyl ether generated the furoquinoline derivative (V). This was then condensed with 2-methyl-4-methoxyaniline (VI) in refluxing diethylene glycol to furnish adduct (VII). Chlorination of pyrroloquinolone (VII) with phosphoryl chloride gave rise to the chloro pyrroloquinoline (VIII). The chloro group of (VIII) was finally displaced with ethanolamine (IX) at 190 C, yielding the title compound.

Drug Information Express,Drug R&D,Chemical Database,Patent Search.
Copyright © 2006-2026 Drug Future. All rights reserved.Contact Us