【药物名称】RWJ-334181
化学结构式(Chemical Structure):
参考文献No.49748
标题:Antibacterial heterobicyclic substd. phenyl oxazolidinones
作者:Hlasta, D.; Paget, S. (Ortho-McNeil Pharmaceutical, Inc.)
来源:EP 1206469; US 6413981; WO 0142242
合成路线图解说明:

Intramolecular Diels-Alder reaction of the N-pyrazinylmethyl-N-propargyl carbamate (I), with subsequent extrusion of HCN, gave rise to a mixture of the isomeric pyrrolopyridines (II) and (III). Acidic hydrolysis of the pyrrolo[3,4-b]pyridine carbamate (III) provided the bicyclic amine (IV). This was condensed with 3,4-difluoronitrobenzene (V) to give the aryl amine (VI). Catalytic hydrogenation of the nitro group of (VI) yielded aniline (VII), which was converted to the benzyl carbamate (VIII) upon treatment with benzyl chloroformate. The chiral oxazolidinone (X) was then obtained by condensation of the lithium salt of carbamate (VIII) with (R)-glycidyl butyrate (IX) at -78 C. Conversion of alcohol (X) to mesylate (XI), and subsequent mesylate displacement with NaN3 in hot DMF, furnished azide (XII). Finally, hydrogenation of azide (XII) to the corresponding amine, followed by acylation with Ac2O, led to the target acetamide.

合成路线图解说明:

Intramolecular Diels-Alder reaction of the N-pyrazinylmethyl-N-propargyl carbamate (I), with subsequent extrusion of HCN, gave rise to a mixture of the isomeric pyrrolopyridines (II) and (III). Acidic hydrolysis of the pyrrolo[3,4-c]pyridine carbamate (III) provided the bicyclic amine (IV). This was condensed with 3,4-difluoronitrobenzene (V) to give the aryl amine (VI). Catalytic hydrogenation of the nitro group of (V) yielded aniline (VII), which was converted to the benzyl carbamate (VIII) upon treatment with benzyl chloroformate. The chiral oxazolidinone (X) was then obtained by condensation of the lithium salt of carbamate (VIII) with (R)-glycidyl butyrate (IX) at -78 C. Conversion of alcohol (X) to mesylate (XI), and subsequent mesylate displacement with NaN3 in hot DMF, furnished azide (XII). Finally, hydrogenation of azide (XII) to the corresponding amine, followed by acylation with Ac2O, led to the target acetamide.

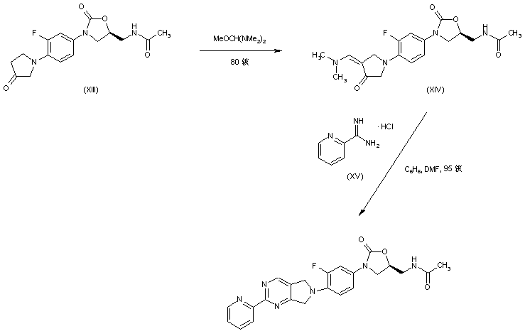
合成路线图解说明:

Condensation of pyrrolidinone (XIII) with methoxy-bis(dimethylamino)methane gives the beta-ketoenamine (XIV). Then, cyclization of (XIV) with 2 amidinopyridine (XV) generates the target pyrrolopyrimidine system.

参考文献No.645465
标题:Synthesis and antibacterial activity of pyrrolopyridine-substituted oxazolidinones
作者:Paget, S.; Weidner-Wells, M.; Hlasta, D.; et al.
来源:41st Intersci Conf Antimicrob Agents Chemother (Dec 16 2001, Chicago) 2001,Abst F-1048
合成路线图解说明:

Intramolecular Diels-Alder reaction of the N-pyrazinylmethyl-N-propargyl carbamate (I), with subsequent extrusion of HCN, gave rise to a mixture of the isomeric pyrrolopyridines (II) and (III). Acidic hydrolysis of the pyrrolo[3,4-b]pyridine carbamate (III) provided the bicyclic amine (IV). This was condensed with 3,4-difluoronitrobenzene (V) to give the aryl amine (VI). Catalytic hydrogenation of the nitro group of (VI) yielded aniline (VII), which was converted to the benzyl carbamate (VIII) upon treatment with benzyl chloroformate. The chiral oxazolidinone (X) was then obtained by condensation of the lithium salt of carbamate (VIII) with (R)-glycidyl butyrate (IX) at -78 C. Conversion of alcohol (X) to mesylate (XI), and subsequent mesylate displacement with NaN3 in hot DMF, furnished azide (XII). Finally, hydrogenation of azide (XII) to the corresponding amine, followed by acylation with Ac2O, led to the target acetamide.

合成路线图解说明:

Intramolecular Diels-Alder reaction of the N-pyrazinylmethyl-N-propargyl carbamate (I), with subsequent extrusion of HCN, gave rise to a mixture of the isomeric pyrrolopyridines (II) and (III). Acidic hydrolysis of the pyrrolo[3,4-c]pyridine carbamate (III) provided the bicyclic amine (IV). This was condensed with 3,4-difluoronitrobenzene (V) to give the aryl amine (VI). Catalytic hydrogenation of the nitro group of (V) yielded aniline (VII), which was converted to the benzyl carbamate (VIII) upon treatment with benzyl chloroformate. The chiral oxazolidinone (X) was then obtained by condensation of the lithium salt of carbamate (VIII) with (R)-glycidyl butyrate (IX) at -78 C. Conversion of alcohol (X) to mesylate (XI), and subsequent mesylate displacement with NaN3 in hot DMF, furnished azide (XII). Finally, hydrogenation of azide (XII) to the corresponding amine, followed by acylation with Ac2O, led to the target acetamide.

参考文献No.777996
标题:Synthesis and antibacterial activity of pyrroloaryl-substituted oxazolidinones
作者:Paget, S.D.; Foleno, B.D.; Boggs, C.M.; Goldschmidt, R.M.; Hlasta, D.J.; Weidner-Wells, M.A.; Werblood, H.M.; Wira, E.; Bush, K.; Macielag, M.J.
来源:Bioorg Med Chem Lett 2003,13(23),4173
合成路线图解说明:

Intramolecular Diels-Alder reaction of the N-pyrazinylmethyl-N-propargyl carbamate (I), with subsequent extrusion of HCN, gave rise to a mixture of the isomeric pyrrolopyridines (II) and (III). Acidic hydrolysis of the pyrrolo[3,4-b]pyridine carbamate (III) provided the bicyclic amine (IV). This was condensed with 3,4-difluoronitrobenzene (V) to give the aryl amine (VI). Catalytic hydrogenation of the nitro group of (VI) yielded aniline (VII), which was converted to the benzyl carbamate (VIII) upon treatment with benzyl chloroformate. The chiral oxazolidinone (X) was then obtained by condensation of the lithium salt of carbamate (VIII) with (R)-glycidyl butyrate (IX) at -78 C. Conversion of alcohol (X) to mesylate (XI), and subsequent mesylate displacement with NaN3 in hot DMF, furnished azide (XII). Finally, hydrogenation of azide (XII) to the corresponding amine, followed by acylation with Ac2O, led to the target acetamide.

合成路线图解说明:

Intramolecular Diels-Alder reaction of the N-pyrazinylmethyl-N-propargyl carbamate (I), with subsequent extrusion of HCN, gave rise to a mixture of the isomeric pyrrolopyridines (II) and (III). Acidic hydrolysis of the pyrrolo[3,4-c]pyridine carbamate (III) provided the bicyclic amine (IV). This was condensed with 3,4-difluoronitrobenzene (V) to give the aryl amine (VI). Catalytic hydrogenation of the nitro group of (V) yielded aniline (VII), which was converted to the benzyl carbamate (VIII) upon treatment with benzyl chloroformate. The chiral oxazolidinone (X) was then obtained by condensation of the lithium salt of carbamate (VIII) with (R)-glycidyl butyrate (IX) at -78 C. Conversion of alcohol (X) to mesylate (XI), and subsequent mesylate displacement with NaN3 in hot DMF, furnished azide (XII). Finally, hydrogenation of azide (XII) to the corresponding amine, followed by acylation with Ac2O, led to the target acetamide.

Drug Information Express,Drug R&D,Chemical Database,Patent Search.
Copyright © 2006-2026 Drug Future. All rights reserved.Contact Us