【药物名称】SB-380732
化学结构式(Chemical Structure):
参考文献No.629088
标题:Conformationally restricted indolopiperidine derivatives as potent CCR2B receptor antagonists
作者:Witherington, J.; Bordas, V.; Cooper, D.G.; Forbes, I.T.; Gribble, A.D.; Ife, R.J.; Berkhout, T.; Gohil, J.; Groot, P.H.
来源:Bioorg Med Chem Lett 2001,11(16),2177
合成路线图解说明:

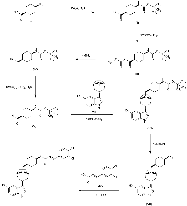
Protection of cis-4-aminocyclohexanecarboxylic acid (I) with di-tert-butyl dicarbonate provided the N-Boc-amino acid (II). After conversion of (II) to the mixed anhydride (III) with methyl chloroformate, reduction with NaBH4 afforded alcohol (IV). Subsequent Swern oxidation of alcohol (IV) gave aldehyde (V). This was then subjected to reductive amination with the indolyl tropane (VI) in the presence of NaBH(OAc)3 to furnish the tertiary amine (VII). Removal of the Boc protecting group of (VII) with ethanolic HCl, followed by coupling of the resulting amine (VIII) with 3,4-dichlorocinnamic acid, yielded the target amide.

Drug Information Express,Drug R&D,Chemical Database,Patent Search.
Copyright © 2006-2026 Drug Future. All rights reserved.Contact Us