【药物名称】CVT-2759
化学结构式(Chemical Structure):
参考文献No.49594
标题:N6 Heterocylic 5' modified adenosine derivs.
作者:Belardinelli, L.; Zablocki, J.A.; Palle, V.P.; Ibrahim, P.N.; Varkhedkar, V. (CV Therapeutics, Inc.)
来源:US 6258793; WO 0140244; WO 0140245
合成路线图解说明:

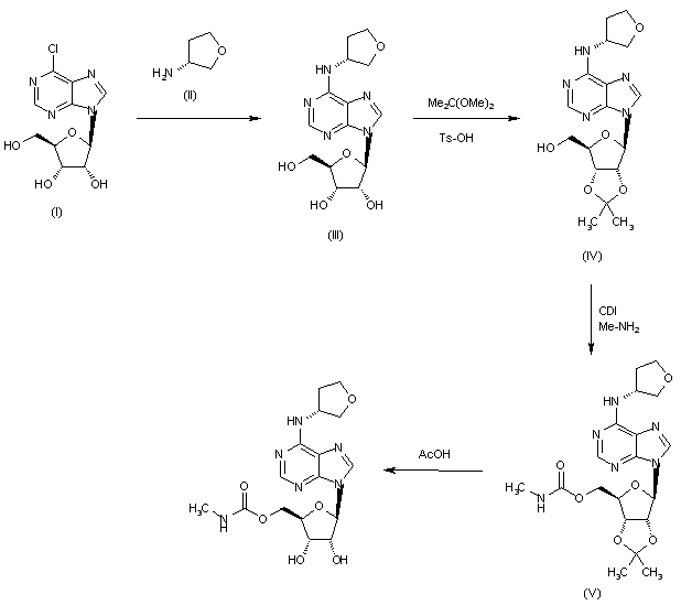
The reaction of the chloropurine (I) with tetrahydrofuran-2(R)-amine (II) gives N6-(furan-2(R)-yl)adenosine (III), which is treated with 2,2-dimethoxypropane and Ts-OH in hot DMF to yield N6-(furan-2-(R)-yl)-2'O,3'O-isopropylideneadenosine (IV). The reaction of (IV) with CDI and methylamine in THF affords N6-(furan-2-(R)-yl)-2'O,3'O-isopropylidene-5'O-(N-methylcarbamoyl)adenosine (V), which is finally deprotected with HOAc in hot water to provide the target adenosine derivative.

参考文献No.661995
标题:A1 adenosine receptor agonist- SAR of 5'-carbamates and 5'-thionocarbamates of N6-substituted adenosine derivatives
作者:Palle, V.P.; et al.
来源:223rd ACS Natl Meet (April 7 2002, Orlando) 2002,Abst MEDI 23
合成路线图解说明:

The reaction of the chloropurine (I) with tetrahydrofuran-2(R)-amine (II) gives N6-(furan-2(R)-yl)adenosine (III), which is treated with 2,2-dimethoxypropane and Ts-OH in hot DMF to yield N6-(furan-2-(R)-yl)-2'O,3'O-isopropylideneadenosine (IV). The reaction of (IV) with CDI and methylamine in THF affords N6-(furan-2-(R)-yl)-2'O,3'O-isopropylidene-5'O-(N-methylcarbamoyl)adenosine (V), which is finally deprotected with HOAc in hot water to provide the target adenosine derivative.

Drug Information Express,Drug R&D,Chemical Database,Patent Search.
Copyright © 2006-2026 Drug Future. All rights reserved.Contact Us