【药物名称】Enzastaurin hydrochloride, LY-317615.2HCl, 317615.2HCl
化学结构式(Chemical Structure):
参考文献No.27363
标题:Protein kinase C inhibitors
作者:Heath, W.F.H. Jr.; McDonald, J.H. III; Paal, M.; R黷her, G.; Schotten, T.; Stenzel, W. (Eli Lilly and Company)
来源:EP 0817627; JP 1997507066; US 5545636; WO 9517182
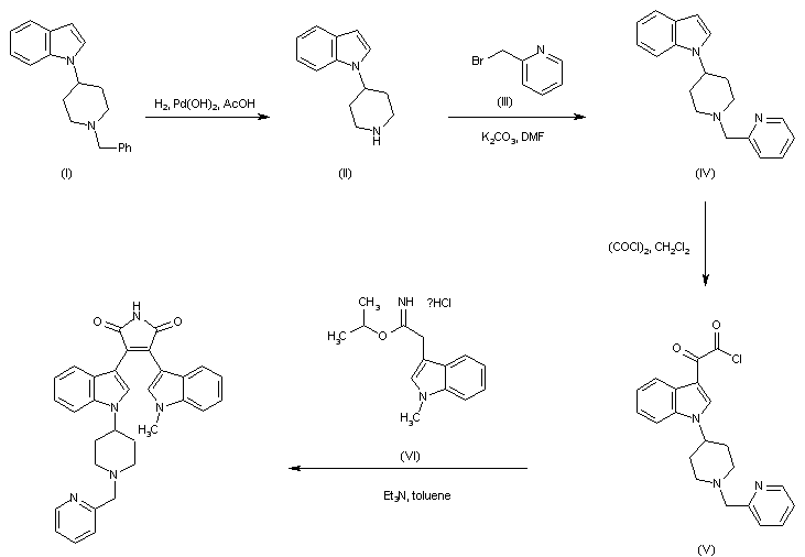
合成路线图解说明:

Debenzylation of 1-benzyl-4-(1-indolyl)piperidine (I) with H2 and Pd(OH)2 leads to piperidine (II), which is further alkylated by 2-(bromomethyl)pyridine (III) to yield the pyridylmethyl piperidine (IV). Acylation of indole (IV) with oxalyl chloride produces the indoleglyoxylyl chloride (V). This is finally cyclized with the indolyl acetimidate (VI) in the presence of Et3N to produce the target bis-indolyl maleimide.

Drug Information Express,Drug R&D,Chemical Database,Patent Search.
Copyright © 2006-2026 Drug Future. All rights reserved.Contact Us