【药物名称】PX-117794
化学结构式(Chemical Structure):
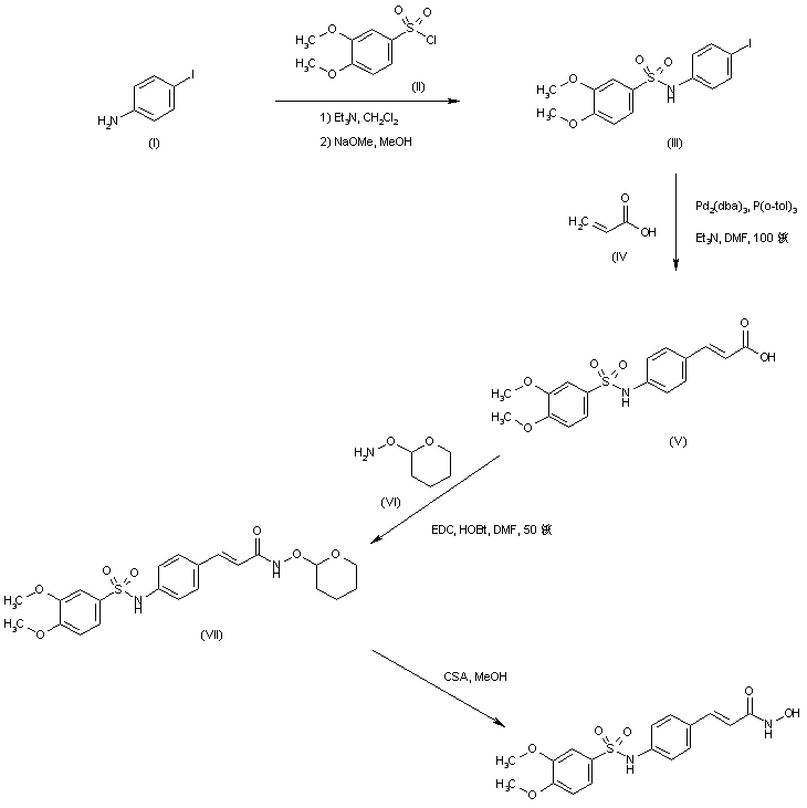
参考文献No.49498
标题:Inhibitors of histone deacetylase
作者:Delorme, D.; Ruel, R.; Lavoie, R.; Thibault, C.; Abou-Khalil, E. (MethylGene Inc.)
来源:EP 1233958; JP 2003514904; WO 0138322
合成路线图解说明:

A typical pathway for the preparation of the title compound is depicted. Slight modifications are possible according to the patent literature.

合成路线图解说明:

Acylation of 4-iodoaniline (I) with 3,4-dimethoxybenzenesulfonyl chloride (II), followed by basic methanolysis leads to sulfonamide (III). Heck coupling of aryl iodide (III) with acrylic acid (IV) in the presence of tris(dibenzylideneacetone)dipalladium and tri(o-tolyl)phosphine gives the cinnamic acid derivative (V). This is then coupled to the tetrahydropyranyl-protected hydroxylamine (VI) by means of EDC/HOBt to furnish (VII). The tetrahydropyranyl hydroxamate (VII) is finally deprotected under acidic conditions to produce the title compound.

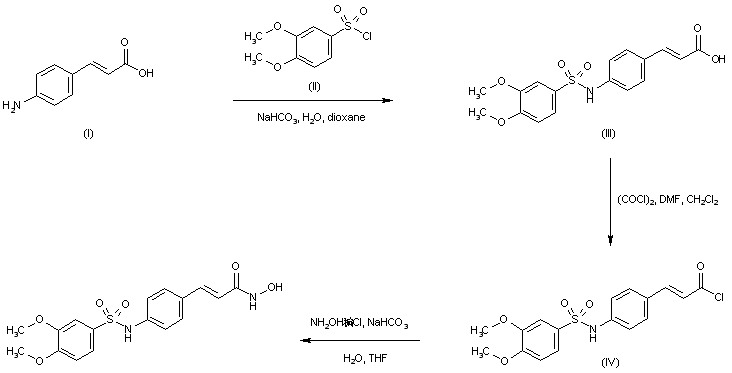
参考文献No.60453
标题:Carbamic acid cpds. comprising a sulfonamide linkage as HDAC inhibitors
作者:Harris, C.J.; Finn, P.W.; Kalvinsh, I.; Piskunova, I.; Starchenkov, I.; Watkins, C.J.; Romero-Martin, M.-R.; Moore, K.G.; Ritchie, J.; Loza, E.; Dikovska, K.; Gailite, V.; Vorona, M.; Adrianov, V.; Duffy, J.E.S. (TopoTarget A/S)
来源:EP 1328510; WO 0230879
合成路线图解说明:

In a different method, p-aminocinnamic acid (I) is acylated by 3,4-dimethoxybenzenesulfonyl chloride (II) to yield sulfonamide (III). After activation of the carboxylic acid (III) with oxalyl chloride, the resultant acid chloride (IV) is condensed with hydroxylamine to furnish the target hydroxamic acid.

参考文献No.640342
标题:Design and synthesis of a novel class of histone deacetylase inhibitors
作者:Lavoie, R.; Bouchain, G.; Frechette, S.; Woo, S.H.; Abou-Khalil, E.; Leit, S.; Fournel, M.; Yan, P.T.; Trachy-Bourget, M.C.; Beaulieu, C.; Li, Z.; Besterman, J.M.; Delorme, D.
来源:Bioorg Med Chem Lett 2001,11(21),2847
合成路线图解说明:

Acylation of 4-iodoaniline (I) with 3,4-dimethoxybenzenesulfonyl chloride (II), followed by basic methanolysis leads to sulfonamide (III). Heck coupling of aryl iodide (III) with acrylic acid (IV) in the presence of tris(dibenzylideneacetone)dipalladium and tri(o-tolyl)phosphine gives the cinnamic acid derivative (V). This is then coupled to the tetrahydropyranyl-protected hydroxylamine (VI) by means of EDC/HOBt to furnish (VII). The tetrahydropyranyl hydroxamate (VII) is finally deprotected under acidic conditions to produce the title compound.

参考文献No.716722
标题:Development of potential antitumor agents. Synthesis and biological evaluation of a new set of sulfonamide derivatives as histone deacetylase inhibitors
作者:Bouchain, G.; Leit, S.; Frechette, S.; Khalil, E.A.; Lavoie, R.; Moradei, O.; Woo, S.H.; Fournel, M.; Yan, P.T.; Kalita, A.; Trachy-Bourget, M.C.; Beaulieu, C.; Li, Z.; Robert, M.F.; MacLeod, A.R.; Besterman, J.M.; Delorme, D.
来源:J Med Chem 2003,46(5),820
合成路线图解说明:

Acylation of 4-iodoaniline (I) with 3,4-dimethoxybenzenesulfonyl chloride (II), followed by basic methanolysis leads to sulfonamide (III). Heck coupling of aryl iodide (III) with acrylic acid (IV) in the presence of tris(dibenzylideneacetone)dipalladium and tri(o-tolyl)phosphine gives the cinnamic acid derivative (V). This is then coupled to the tetrahydropyranyl-protected hydroxylamine (VI) by means of EDC/HOBt to furnish (VII). The tetrahydropyranyl hydroxamate (VII) is finally deprotected under acidic conditions to produce the title compound.

Drug Information Express,Drug R&D,Chemical Database,Patent Search.
Copyright © 2006-2026 Drug Future. All rights reserved.Contact Us