【药物名称】MC-5723
化学结构式(Chemical Structure):
参考文献No.51010
标题:Cardioprotective phosphonates and malonates
作者:Haque, W. (Medicure Inc.)
来源:WO 0164692
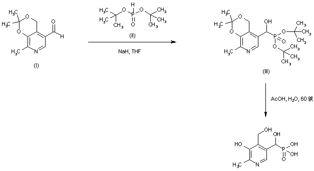
合成路线图解说明:

Addition of di-tert-butyl phosphite (II) to the pyridine aldehyde (I) afforded the pyridylphosphonate (III). The tert-butyl phosphonate esters and the cyclic ketal groups of (III) were then hydrolyzed under acidic conditions to furnish the title compound.

Drug Information Express,Drug R&D,Chemical Database,Patent Search.
Copyright © 2006-2026 Drug Future. All rights reserved.Contact Us