【药物名称】Droxicainide, S-1249, AL-S-1249
化学结构式(Chemical Structure):
参考文献No.804003
标题:Droxicainide
作者:Aberg, G.
来源:Drugs Fut 1983,8(6),492
合成路线图解说明:

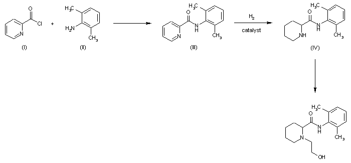
A pyridine carboxylic acid anilide (III) can be produced by reacting a pyridine carboxylic acid chloride (I) with an aromatic amine (II). The pyridine carboxylic acid anilide (III) is hydrogenated to the corresponding piperidine carboxylic acid anilide (IV), which is thereafter hydroalkylated

参考文献No.900232
标题:
作者:af Ekenstam, B.; Aberg, A.K.G.
来源:US 4302465
合成路线图解说明:

A pyridine carboxylic acid anilide (III) can be produced by reacting a pyridine carboxylic acid chloride (I) with an aromatic amine (II). The pyridine carboxylic acid anilide (III) is hydrogenated to the corresponding piperidine carboxylic acid anilide (IV), which is thereafter hydroalkylated

Drug Information Express,Drug R&D,Chemical Database,Patent Search.
Copyright © 2006-2026 Drug Future. All rights reserved.Contact Us