【药物名称】Tibalosin, CP-804-S
化学结构式(Chemical Structure):
参考文献No.804002
标题:Tibalosin
作者:Serradell, M.N.; Casta馿r, J.; Thorpe, P.J.
来源:Drugs Fut 1984,9(12),909
合成路线图解说明:

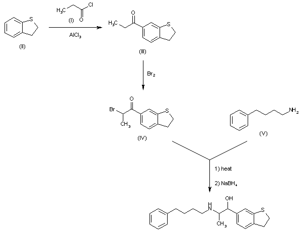
The Friedel-Crafts?condensation of propionyl chloride (I) with 2,3-dihydrobenzo[b]thiophene (II) in dichloroethylene gives 5-propionyl-2,3-dihydrobenzo[b]thiophene (III), which is brominated with Br2 in THF yielding 5-(2-bromopropionyl)-2,3-dihydrobenzo[b]thiophene (IV). Finally this compound is condensed with 4-phenylbutylamine (V) in refluxing methanol and reduced with NaBH4 in the solvent

参考文献No.900231
标题:
作者:Lambellin, G.; Roba, J.; Gillet, C.; Roncocci, R. (Continental Pharma)
来源:BE 848496; FR 2370470; FR 2370472; GB 1565080; JP 7797952
合成路线图解说明:

The Friedel-Crafts?condensation of propionyl chloride (I) with 2,3-dihydrobenzo[b]thiophene (II) in dichloroethylene gives 5-propionyl-2,3-dihydrobenzo[b]thiophene (III), which is brominated with Br2 in THF yielding 5-(2-bromopropionyl)-2,3-dihydrobenzo[b]thiophene (IV). Finally this compound is condensed with 4-phenylbutylamine (V) in refluxing methanol and reduced with NaBH4 in the solvent

Drug Information Express,Drug R&D,Chemical Database,Patent Search.
Copyright © 2006-2026 Drug Future. All rights reserved.Contact Us