【药物名称】Fenprostalene, RS-84043, Synchrocept B(Veterinary)
化学结构式(Chemical Structure):
参考文献No.804001
标题:Fenprostalene
作者:Serradell, M.N.; Casta馿r, J.; Adaikan, P.G.; Kottegoda, S.R.
来源:Drugs Fut 1984,9(11),817
合成路线图解说明:

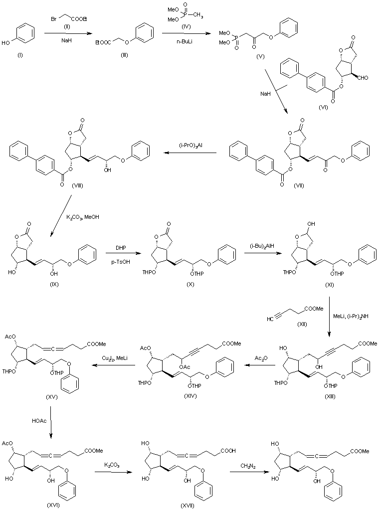
The condensation of phenol (I) with ethyl bromoacetate (II) by means of NaH in refluxing dimethoxyethane gives phenoxyacetate (III), which by condensation with dimethyl methylphosphonate (IV) by means of butyllithium in THF is converted into dimethyl 2-oxo-3-phenoxypropylphosphonate (V). The Wittig condensation of (V) with (2抋lpha-hydroxy-4抋lpha-p-phenylbenzoyloxy)-5抌eta-formylcyclopent-1抋lpha-yl)acetic acid 1,2?lactone (VI) by means of NaH in methoxyethane affords the phenoxylactone (VII), which is reduced witl aluminium isopropoxide in refluxing toluene to yield the hydroxylactone (VIII). The hydrolysis of (VIII) with K2CO3 in methanol gives the dihydroxylactone (IX), which is protected with dihydropyran and p-toluenesulfonic acid in methylene chloride giving the bis-tetrahydropyranyloxylactone (X). The reduction of (X) with diisobutylaluminium hydride in toluene yields [2抋lpha-hydroxy-4抋lpha-tetrahydropyranyloxy-5抌eta-(3拻alpha-tetrapyranyloxy-4拻-phenoxybut-1拻-trans-en-1拻-yl)cyclopent-1抋lpha-yl]acetaldehyde 1,2-hemiacetal (XI), which is condensed with 4-pentynoate (XII) by means of methyllithium and diisopropylamine in ether to afford the acetylenic prostaglandin derivative (XIII). The acetylation of (XIII) with acetic anhydride - triethylamine and dimethylaminopyridine in methylene chloride gives the diacetoxy compound (XIV), which by treatment with Cu2I2 and methyllithium in ether is converted into the cumulenic prostaglandin (XV). The elimination of the tetrahydropyran groups with acetic acid yields the dihydroxy-acetoxy ester (XVI), which is fully hydrolyzed with K2ClO3 in MeOH affording 8R-9alpha,11alpha,15alpha-trihydroxy-16-phenoxy-17,18,19,20-tetranorprosta-4,5,13-trans-trienoic acid (XVII). Finally this compound is methylated with diazomethane in ether

参考文献No.900230
标题:
作者:Muchowski, J.M.; et al. (Syntex (USA), Inc.)
来源:US 3985791
合成路线图解说明:

The condensation of phenol (I) with ethyl bromoacetate (II) by means of NaH in refluxing dimethoxyethane gives phenoxyacetate (III), which by condensation with dimethyl methylphosphonate (IV) by means of butyllithium in THF is converted into dimethyl 2-oxo-3-phenoxypropylphosphonate (V). The Wittig condensation of (V) with (2抋lpha-hydroxy-4抋lpha-p-phenylbenzoyloxy)-5抌eta-formylcyclopent-1抋lpha-yl)acetic acid 1,2?lactone (VI) by means of NaH in methoxyethane affords the phenoxylactone (VII), which is reduced witl aluminium isopropoxide in refluxing toluene to yield the hydroxylactone (VIII). The hydrolysis of (VIII) with K2CO3 in methanol gives the dihydroxylactone (IX), which is protected with dihydropyran and p-toluenesulfonic acid in methylene chloride giving the bis-tetrahydropyranyloxylactone (X). The reduction of (X) with diisobutylaluminium hydride in toluene yields [2抋lpha-hydroxy-4抋lpha-tetrahydropyranyloxy-5抌eta-(3拻alpha-tetrapyranyloxy-4拻-phenoxybut-1拻-trans-en-1拻-yl)cyclopent-1抋lpha-yl]acetaldehyde 1,2-hemiacetal (XI), which is condensed with 4-pentynoate (XII) by means of methyllithium and diisopropylamine in ether to afford the acetylenic prostaglandin derivative (XIII). The acetylation of (XIII) with acetic anhydride - triethylamine and dimethylaminopyridine in methylene chloride gives the diacetoxy compound (XIV), which by treatment with Cu2I2 and methyllithium in ether is converted into the cumulenic prostaglandin (XV). The elimination of the tetrahydropyran groups with acetic acid yields the dihydroxy-acetoxy ester (XVI), which is fully hydrolyzed with K2ClO3 in MeOH affording 8R-9alpha,11alpha,15alpha-trihydroxy-16-phenoxy-17,18,19,20-tetranorprosta-4,5,13-trans-trienoic acid (XVII). Finally this compound is methylated with diazomethane in ether

Drug Information Express,Drug R&D,Chemical Database,Patent Search.
Copyright © 2006-2026 Drug Future. All rights reserved.Contact Us