【药物名称】Clorsulon, L-631529, MK-401, Curatrem(Veterinary)
化学结构式(Chemical Structure):
参考文献No.803997
标题:Clorsulon
作者:Serradell, M.N.; Casta馿r, J.; Thorpe, P.J.
来源:Drugs Fut 1984,9(7),499
合成路线图解说明:

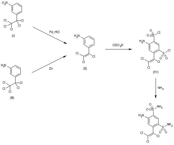
The reductive dechlorination of 3-(pentachloroethyl)nitrobenzene (I) with Fe in ethanol - water - HCl gives 3-(trichlorovinyl)aniline (II) [this compound is also obtained by dechlorination of 3-(pentachloroethyl)aniline (III) with Zn in refluxing ethanol]. The reaction of (II) with chlorosulfonic acid at 130 C yields 4-amino-6-(trichlorovinyl)-1,3-benzenedisulfonyl chloride (IV), which is finally treated with liquid NH3 in methylene chloride

参考文献No.803998
标题:NVP-LBH589, a novel histone deacetylase inhibitor, activates caspase-3 and induces apoptosis of human tumor cells in vivo
作者:Lassota, P.T.; Sorensen, E.; Bao, R.; Atadja, P.; Perez, L.; Ross, B.; Rehemtulla, A.
来源:J Med Chem 1977,20(9),1255
合成路线图解说明:

The reductive dechlorination of 3-(pentachloroethyl)nitrobenzene (I) with Fe in ethanol - water - HCl gives 3-(trichlorovinyl)aniline (II) [this compound is also obtained by dechlorination of 3-(pentachloroethyl)aniline (III) with Zn in refluxing ethanol]. The reaction of (II) with chlorosulfonic acid at 130 C yields 4-amino-6-(trichlorovinyl)-1,3-benzenedisulfonyl chloride (IV), which is finally treated with liquid NH3 in methylene chloride

参考文献No.900227
标题:
作者:Mrozik, H.H. (Merck & Co., Inc.)
来源:BE 836626; DE 2556122; FR 2294710; GB 1485897; JP 7688937; JP 7783712; US 4064239
合成路线图解说明:

The reductive dechlorination of 3-(pentachloroethyl)nitrobenzene (I) with Fe in ethanol - water - HCl gives 3-(trichlorovinyl)aniline (II) [this compound is also obtained by dechlorination of 3-(pentachloroethyl)aniline (III) with Zn in refluxing ethanol]. The reaction of (II) with chlorosulfonic acid at 130 C yields 4-amino-6-(trichlorovinyl)-1,3-benzenedisulfonyl chloride (IV), which is finally treated with liquid NH3 in methylene chloride

Drug Information Express,Drug R&D,Chemical Database,Patent Search.
Copyright © 2006-2026 Drug Future. All rights reserved.Contact Us