【药物名称】Amiflamine, (+)-FLA-336
化学结构式(Chemical Structure):
参考文献No.950042
标题:N-Desmethyl analogues of (+)-4-dimethylamino-2, a-dimethylphenethylamine. Synthesis and configurational relationships
作者:Florvall, L.; Persson, M.-L.
来源:Acta Chem Scand 1982,B36141
合成路线图解说明:

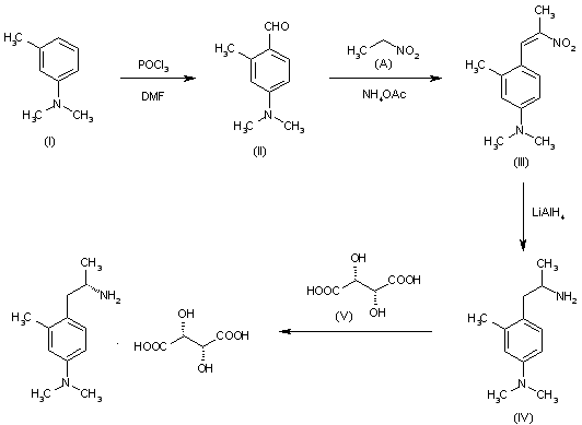
The interaction of N,N-dimethyl-m-toluidine (I) and phosphorous oxychloride in dimethylformamide results in the formation of 4-dimethylamino-o-tolualdehyde (II). The condensation of this aldehyde and nitroethane (A) in the presence of ammonium acetate gives the corresponding beta-nitrostyrene (III). The preparation of 4-dimethylamino-2,alpha-dimethylphenethylamine (IV) is effected by a procedure involving the reduction of the beta-nitrostyrene (III) with lithium aluminium hydride. Finally, the racemic amine (IV) is resolved into the (S)-isomer by the use of (+)-tartaric acid (V)

参考文献No.950043
标题:Crystal structure and absolute configuration of the dihydrobromide of a selective monoamine oxidase inhibitor: (S)-(+)-4-Dimethyl-2, a-dimethylphenethylamine
作者:Hjert閚, I.; Werner, P.-E.; W鋑ner, A.; Florvall, L.
来源:Acta Pharm Suec 1983,20123
合成路线图解说明:

The interaction of N,N-dimethyl-m-toluidine (I) and phosphorous oxychloride in dimethylformamide results in the formation of 4-dimethylamino-o-tolualdehyde (II). The condensation of this aldehyde and nitroethane (A) in the presence of ammonium acetate gives the corresponding beta-nitrostyrene (III). The preparation of 4-dimethylamino-2,alpha-dimethylphenethylamine (IV) is effected by a procedure involving the reduction of the beta-nitrostyrene (III) with lithium aluminium hydride. Finally, the racemic amine (IV) is resolved into the (S)-isomer by the use of (+)-tartaric acid (V)

参考文献No.950044
标题:Amiflamine
作者:Florvall, L.; Ask, A.-L.
来源:Drugs Fut 1984,9(7),491
合成路线图解说明:

The interaction of N,N-dimethyl-m-toluidine (I) and phosphorous oxychloride in dimethylformamide results in the formation of 4-dimethylamino-o-tolualdehyde (II). The condensation of this aldehyde and nitroethane (A) in the presence of ammonium acetate gives the corresponding beta-nitrostyrene (III). The preparation of 4-dimethylamino-2,alpha-dimethylphenethylamine (IV) is effected by a procedure involving the reduction of the beta-nitrostyrene (III) with lithium aluminium hydride. Finally, the racemic amine (IV) is resolved into the (S)-isomer by the use of (+)-tartaric acid (V)

Drug Information Express,Drug R&D,Chemical Database,Patent Search.
Copyright © 2006-2026 Drug Future. All rights reserved.Contact Us