【药物名称】Flutroline, CP-36584
化学结构式(Chemical Structure):
参考文献No.803965
标题:Flutroline
作者:Blancafort, P.; Serradell, M.N.; Casta馿r, J.; Leeson, P.A.; Mealy, N.E.
来源:Drugs Fut 1981,6(2),84
合成路线图解说明:

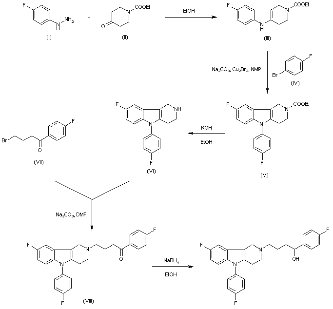
The cyclization of p-fluorophenylhydrazine (I) with 1-carbethoxy-4-piperidinone (II) in refluxing ethanol gives 2-carbethoxy-8-fluoro-1,2,3,4-tetrahydro-gamma-carboline (III), which is arylated with p-fluorobromobenzene (IV), by means of Na2CO3 - Cu2Br2 in N-methyl-2-pyrrolidinone heated at 200 C to yield 2-carbethoxy-8-fluoro-5-(p-fluorophenyl)-1,2,3,4-tetrahydro-gamma-carboline (V). The hydrolytic decarboxylation of (V) with KOH in refluxing ethanol affords 8-fluoro-5-(p-fluorophenyl)-1,2,3,4-tetrahydro-gamma-carboline (VI), which is alkylated with p-fluoro-gamma-bromobutyrophenone (VII) by means of Na2CO3 in hot DMF to give 8-fluoro-5-(p-fluorophenyl)-2-[4-(p-fluorophenyl)-4-oxobutyl]-1,2,3,4-tetrahydro-gamma-carboline (VIII). Finally this compound is reduced with NaBH4 in ethanol - THF

参考文献No.803966
标题:Neuroleptic activity in 5-aryl-tetrahydro-gamma-carbolines
作者:Harbert, C.A.; et al.
来源:J Med Chem 1980,23(Suppl. 3),635
合成路线图解说明:

The cyclization of p-fluorophenylhydrazine (I) with 1-carbethoxy-4-piperidinone (II) in refluxing ethanol gives 2-carbethoxy-8-fluoro-1,2,3,4-tetrahydro-gamma-carboline (III), which is arylated with p-fluorobromobenzene (IV), by means of Na2CO3 - Cu2Br2 in N-methyl-2-pyrrolidinone heated at 200 C to yield 2-carbethoxy-8-fluoro-5-(p-fluorophenyl)-1,2,3,4-tetrahydro-gamma-carboline (V). The hydrolytic decarboxylation of (V) with KOH in refluxing ethanol affords 8-fluoro-5-(p-fluorophenyl)-1,2,3,4-tetrahydro-gamma-carboline (VI), which is alkylated with p-fluoro-gamma-bromobutyrophenone (VII) by means of Na2CO3 in hot DMF to give 8-fluoro-5-(p-fluorophenyl)-2-[4-(p-fluorophenyl)-4-oxobutyl]-1,2,3,4-tetrahydro-gamma-carboline (VIII). Finally this compound is reduced with NaBH4 in ethanol - THF

参考文献No.900197
标题:
作者:
来源:EP 900197
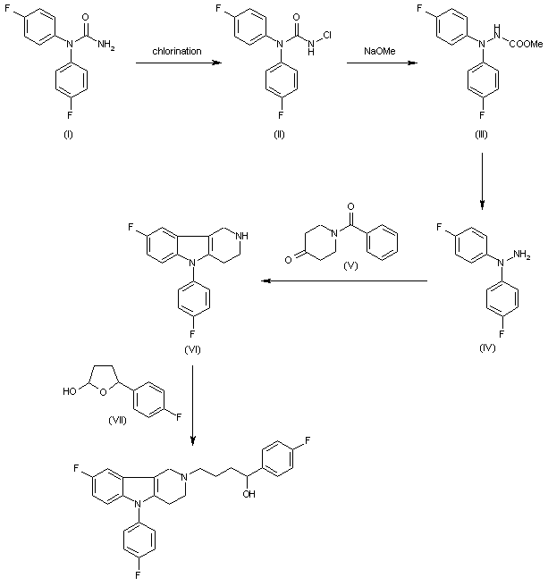
合成路线图解说明:

The chlorination of N,N-bis(4-fluorophenyl)urea (I) gives N,N-bis(4-fluorophenyl)-N?chlorourea (II), which by reaction with sodium methoxide is converted into N,N-bis(4-fluorophenyl)-N-(methoxycarbony)hydrazine (III). Hydrolytic decarboxylation of (III) affords N,N-bis(4-fluorophenyl)hydrazine (IV), which is cyclocondensed with N-benzoyl-4-piperidone (V) yielding 8-fluoro-5-(4-fluorophenyl)-1,2,3,4-tetrahydro-gamma-carboline (VI). Finally this compound is condensed with 5-(4-fluorophenyl)-2-hydroxytetrahydrofuran (VII).

参考文献No.900198
标题:
作者:Plattner, J.J.; et al. (Pfizer Inc.)
来源:US 4001263
合成路线图解说明:

The cyclization of p-fluorophenylhydrazine (I) with 1-carbethoxy-4-piperidinone (II) in refluxing ethanol gives 2-carbethoxy-8-fluoro-1,2,3,4-tetrahydro-gamma-carboline (III), which is arylated with p-fluorobromobenzene (IV), by means of Na2CO3 - Cu2Br2 in N-methyl-2-pyrrolidinone heated at 200 C to yield 2-carbethoxy-8-fluoro-5-(p-fluorophenyl)-1,2,3,4-tetrahydro-gamma-carboline (V). The hydrolytic decarboxylation of (V) with KOH in refluxing ethanol affords 8-fluoro-5-(p-fluorophenyl)-1,2,3,4-tetrahydro-gamma-carboline (VI), which is alkylated with p-fluoro-gamma-bromobutyrophenone (VII) by means of Na2CO3 in hot DMF to give 8-fluoro-5-(p-fluorophenyl)-2-[4-(p-fluorophenyl)-4-oxobutyl]-1,2,3,4-tetrahydro-gamma-carboline (VIII). Finally this compound is reduced with NaBH4 in ethanol - THF

Drug Information Express,Drug R&D,Chemical Database,Patent Search.
Copyright © 2006-2026 Drug Future. All rights reserved.Contact Us