【药物名称】Amoscanate
化学结构式(Chemical Structure):
参考文献No.54872
标题:Nuclear receptor ligands and ligand binding domains
作者:Brenneisen,P.; et al. (Ciba Geigy Corp.)
来源:DE 1932690; DE 1935338; US 3839582
合成路线图解说明:

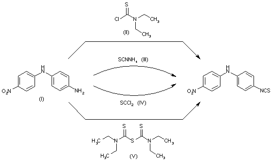
By reaction of 4-nitro-4?aminodiphenylamine (I) with N,N-diethylthiocarbamoyl chloride (II), ammonium thiocyanate (III), thiophosgene (IV), or bis-(N,N-diethylthiocarbamoyl)disulfide (V) in the appropriate solvent

合成路线图解说明:

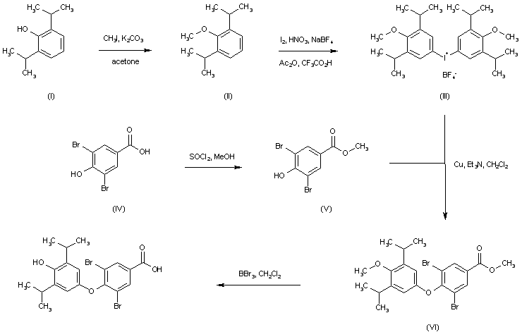
Methylation of 2,6-diisopropylphenol (I) with iodomethane and K2CO3 provides ether (II). Subsequent treatment with iodine and nitric acid gives rise to the diaryl iodonium compound (III), isolated as the corresponding tetrafluoroborate salt. 3,5-Dibromo-4-hydroxybenzoic acid (IV) is esterified with methanol and thionyl chloride to produce (V). Copper-promoted coupling between hydroxybenzoate (V) and the diaryl iodonium salt (III) leads to diaryl ether (VI). Finally, simultaneous cleavage of the methyl ether and ester groups of (VI) is achieved by means of boron tribromide in cold CH2Cl2

参考文献No.803967
标题:Amoscanate
作者:Casta馿r, J.; Bogan, J.A.
来源:Drugs Fut 1977,2(1),10
合成路线图解说明:

By reaction of 4-nitro-4?aminodiphenylamine (I) with N,N-diethylthiocarbamoyl chloride (II), ammonium thiocyanate (III), thiophosgene (IV), or bis-(N,N-diethylthiocarbamoyl)disulfide (V) in the appropriate solvent

参考文献No.900199
标题:
作者:
来源:IN 150073
合成路线图解说明:

Two new syntheses for amoscanate have been described: 1) The reaction of 4-isothiocyanatobenzoyl chloride (I) with sodium azide (II) gives 4-isothiocyanatobenzoyl azide (III), which by heating in chlorobenzene is converted into 4-isothiocyanatophenyl isocyanate (IV). Finally this compound is condensed with 4-nitrophenol (V) by heating at 190 C. 2) By condensation of 1,4-phenylenebisisothiocyanate (VI) with 4-nitrophenol (V) at 190 C as before.

Drug Information Express,Drug R&D,Chemical Database,Patent Search.
Copyright © 2006-2026 Drug Future. All rights reserved.Contact Us