【药物名称】Doxpicodin hydrochloride(former USAN), Doxpicomine hydrochloride, LY-108380
化学结构式(Chemical Structure):
参考文献No.803988
标题:Various 5-substituted and 2,5-disubstituted 1,3-dioxanes, a new class of analgesic agents
作者:Booher, R.N.; et al.
来源:J Med Chem 1977,20(7),885
合成路线图解说明:

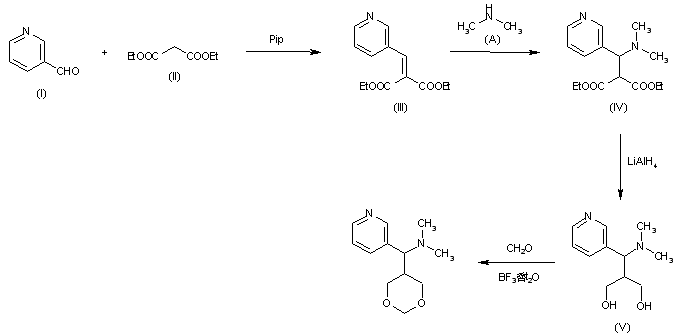
The condensation of 3-pyridincarboxaldehyde (I) with diethyl malonate (II) by means of piperidine in refluxing benzene gives diethyl (3-pyridyl)methylenemalonate (III), which by reaction with dimethylamine (A) in ether is converted into diethyl alpha-dimethylamino-(3-pyridyl)methylmalonate (IV). The reduction of (IV) with LiAlH4 in THF affords 2-[alpha-dimethylamino-(3-pyridyl)methyl]-1,3-propanediol (V), which is finally cyclized with paraformaldehyde by means of boron trifluoride ethearate in acetonitrile. (1-3)

参考文献No.803989
标题:Doxpicomine hydrochloride
作者:Blancafort, P.; Serradell, M.N.; Casta馿r, J.
来源:Drugs Fut 1981,6(9),548
合成路线图解说明:

The condensation of 3-pyridincarboxaldehyde (I) with diethyl malonate (II) by means of piperidine in refluxing benzene gives diethyl (3-pyridyl)methylenemalonate (III), which by reaction with dimethylamine (A) in ether is converted into diethyl alpha-dimethylamino-(3-pyridyl)methylmalonate (IV). The reduction of (IV) with LiAlH4 in THF affords 2-[alpha-dimethylamino-(3-pyridyl)methyl]-1,3-propanediol (V), which is finally cyclized with paraformaldehyde by means of boron trifluoride ethearate in acetonitrile. (1-3)

参考文献No.900218
标题:
作者:Booher, R.N. (Eli Lilly and Company)
来源:US 3962269
合成路线图解说明:

The condensation of 3-pyridincarboxaldehyde (I) with diethyl malonate (II) by means of piperidine in refluxing benzene gives diethyl (3-pyridyl)methylenemalonate (III), which by reaction with dimethylamine (A) in ether is converted into diethyl alpha-dimethylamino-(3-pyridyl)methylmalonate (IV). The reduction of (IV) with LiAlH4 in THF affords 2-[alpha-dimethylamino-(3-pyridyl)methyl]-1,3-propanediol (V), which is finally cyclized with paraformaldehyde by means of boron trifluoride ethearate in acetonitrile. (1-3)

参考文献No.900219
标题:
作者:Booher, R.N. (Eli Lilly and Company)
来源:US 3905987
合成路线图解说明:

The condensation of 3-pyridincarboxaldehyde (I) with diethyl malonate (II) by means of piperidine in refluxing benzene gives diethyl (3-pyridyl)methylenemalonate (III), which by reaction with dimethylamine (A) in ether is converted into diethyl alpha-dimethylamino-(3-pyridyl)methylmalonate (IV). The reduction of (IV) with LiAlH4 in THF affords 2-[alpha-dimethylamino-(3-pyridyl)methyl]-1,3-propanediol (V), which is finally cyclized with paraformaldehyde by means of boron trifluoride ethearate in acetonitrile. (1-3)

Drug Information Express,Drug R&D,Chemical Database,Patent Search.
Copyright © 2006-2026 Drug Future. All rights reserved.Contact Us