【药物名称】Diacetolol hydrochloride, M&B-16942A, EU-4891
化学结构式(Chemical Structure):
参考文献No.803991
标题:Diacetolol hydrochloride
作者:Blancafort, P.; Serradell, M.N.; Casta馿r, J.; Weetman, D.F.
来源:Drugs Fut 1981,6(8),467
合成路线图解说明:

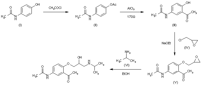
The acetylation of 4-acetamidophenol (I) with acetyl chloride in refluxing benzene gives 4-acetoxyacetanilide (II), which by a Fries reaction with AlCl3 at 170 C is converted into 2-hydroxy-5-acetamidoacetophenone (III). (1,2) The reaction of (III) with epichlorohydrin (IV) by means of sodium ethoxide in refluxing ethanol affords 1-(2-acetyl-4-acetamidophenoxy)-2,3-epoxypropane (V), which is finally treated with isopropylamine (VI) in refluxing ethanol. (1-3)

参考文献No.803992
标题:New series of cardioselective adrenergic beta-receptor blocking compounds. 1-(2-Acyl-4-acylaminophenoxy)3-isopropylaminopropan-2-ols
作者:Basil, B.; et al.
来源:J Med Chem 1976,19(3),399
合成路线图解说明:

The acetylation of 4-acetamidophenol (I) with acetyl chloride in refluxing benzene gives 4-acetoxyacetanilide (II), which by a Fries reaction with AlCl3 at 170 C is converted into 2-hydroxy-5-acetamidoacetophenone (III). (1,2) The reaction of (III) with epichlorohydrin (IV) by means of sodium ethoxide in refluxing ethanol affords 1-(2-acetyl-4-acetamidophenoxy)-2,3-epoxypropane (V), which is finally treated with isopropylamine (VI) in refluxing ethanol. (1-3)

参考文献No.900221
标题:
作者:Woolbridge, K.R.H.; Basil, B. (May & Baker, Ltd.)
来源:BE 715205; CA 834734; CH 485663; CH 489467; FR 1570087; FR M7616; GB 1231783; GB 681537; JP 7134414; NL 6806946; ZA 6803130
合成路线图解说明:

The acetylation of 4-acetamidophenol (I) with acetyl chloride in refluxing benzene gives 4-acetoxyacetanilide (II), which by a Fries reaction with AlCl3 at 170 C is converted into 2-hydroxy-5-acetamidoacetophenone (III). (1,2) The reaction of (III) with epichlorohydrin (IV) by means of sodium ethoxide in refluxing ethanol affords 1-(2-acetyl-4-acetamidophenoxy)-2,3-epoxypropane (V), which is finally treated with isopropylamine (VI) in refluxing ethanol. (1-3)

参考文献No.900222
标题:
作者:Woolbridge, K.R.H.; Basil, B. (May & Baker, Ltd.)
来源:ZA 6808345
合成路线图解说明:

The acetylation of 4-acetamidophenol (I) with acetyl chloride in refluxing benzene gives 4-acetoxyacetanilide (II), which by a Fries reaction with AlCl3 at 170 C is converted into 2-hydroxy-5-acetamidoacetophenone (III). (1,2) The reaction of (III) with epichlorohydrin (IV) by means of sodium ethoxide in refluxing ethanol affords 1-(2-acetyl-4-acetamidophenoxy)-2,3-epoxypropane (V), which is finally treated with isopropylamine (VI) in refluxing ethanol. (1-3)

Drug Information Express,Drug R&D,Chemical Database,Patent Search.
Copyright © 2006-2026 Drug Future. All rights reserved.Contact Us