【药物名称】Moxipraquine, 349-C-59
化学结构式(Chemical Structure):
参考文献No.803995
标题:Moxipraquine
作者:Blancafort, P.; Serradell, M.N.; Casta馿r, J.; Hillier, K.
来源:Drugs Fut 1981,6(6),356
合成路线图解说明:

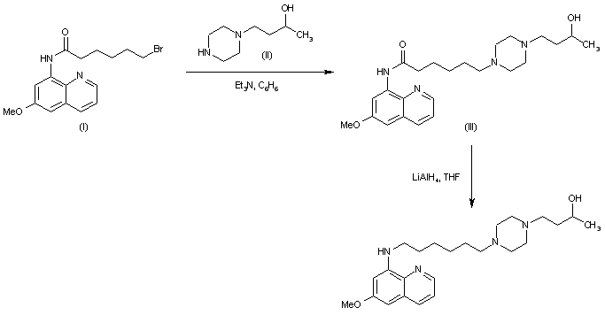
The reaction of 8-(6-bromocaproamido)-6-methoxyquinoline (I) with N-(3-hydroxy-n-butyl)piperazine (II) by means of triethylamine in refluxing benzene gives 8-[6-[4-(3-hydroxy-n-butyl)piperazin-1-yl]-1-oxohexylamino]-6-methoxyquinoline (III), which is reduced with LiAlH4 in refluxing THF

参考文献No.900224
标题:
作者:Wall, L.P. (Wellcome Foundation, Ltd.)
来源:GB 1153471
合成路线图解说明:

The reaction of 8-(6-bromocaproamido)-6-methoxyquinoline (I) with N-(3-hydroxy-n-butyl)piperazine (II) by means of triethylamine in refluxing benzene gives 8-[6-[4-(3-hydroxy-n-butyl)piperazin-1-yl]-1-oxohexylamino]-6-methoxyquinoline (III), which is reduced with LiAlH4 in refluxing THF

Drug Information Express,Drug R&D,Chemical Database,Patent Search.
Copyright © 2006-2026 Drug Future. All rights reserved.Contact Us