【药物名称】Ipexidine mesylate, CK-0569(free base)
化学结构式(Chemical Structure):
参考文献No.900320
标题:
作者:Wohl, R.A.
来源:ZA 706373
合成路线图解说明:

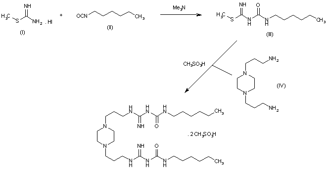
The reaction of S-methyl isothiouronium iodide (I) with n-hexyl isocyanate (II) by means of triethylamine in acetone gives N-(methylthioiminocarbonyl)-N?n-hexylurea (III), which is then condensed with 1,4-bis(3-aminopropyl)piperazine (IV) in refluxing isopropanol and methanesulfonic acid.

参考文献No.950066
标题:Ipexidine Mesylate
作者:Blancafort, P.; Serradell, M.N.; Casta馿r, J.; Leeson, P.A.; Mealy, N.E.
来源:Drugs Fut 1981,6(6),350
合成路线图解说明:

The reaction of S-methyl isothiouronium iodide (I) with n-hexyl isocyanate (II) by means of triethylamine in acetone gives N-(methylthioiminocarbonyl)-N?n-hexylurea (III), which is then condensed with 1,4-bis(3-aminopropyl)piperazine (IV) in refluxing isopropanol and methanesulfonic acid.

Drug Information Express,Drug R&D,Chemical Database,Patent Search.
Copyright © 2006-2026 Drug Future. All rights reserved.Contact Us