【药物名称】Ciclotizolam, WE-973
化学结构式(Chemical Structure):
参考文献No.47061
标题:Substd. 6-aryl-4H-s-triazolo-[3,4c]-thieno-[2,3e]-1,4-diazepines and acid addition salts thereof
作者:Weber, K.-H.; Kuhn, F.J.; Bauer, A.; Danneberg, P. (Boehringer Ingelheim Pharma GmbH & Co. KG)
来源:DE 2410030; GB 1490269
合成路线图解说明:

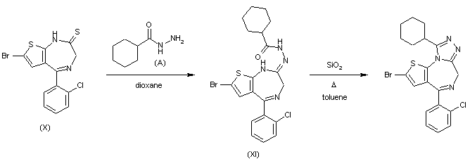
The reaction of 7-bromo-5-(o-chlorophenyl)-3H-[2,3-e]thieno-1,4-diazepine-2-thione (X) with cyclohexanecarboxyl hydrazide (A) in refluxing dioxane gives 7-bromo-5-(o-chlorophenyl)-2-(cyclohexylcarbonylhydrazino)-3H-[2,3-e]thieno-1,4-diazepine (XI), which is cyclized by treatment with SiO2 in refluxing toluene

参考文献No.47127
标题:Process for the preparation of substd. 6-aryl-4H-s-triazolo-[3,4-c]-thieno-[2,3-e]-1,4-diazepines
作者:Weber, K.-H.; Langbein, A.; Bauer, A. (Boehringer Ingelheim Pharma GmbH & Co. KG)
来源:DE 2533924
合成路线图解说明:

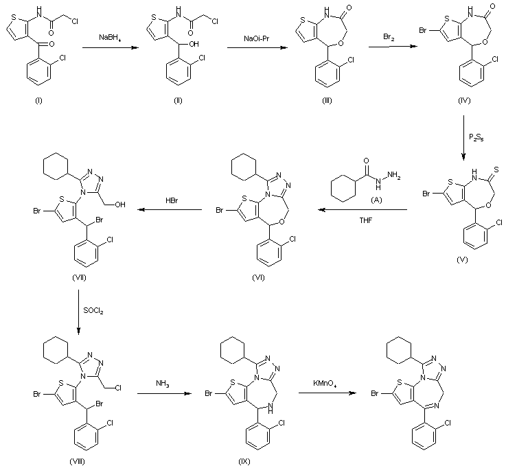
The reduction of 2-chloroacetylamino-3-(o-chlorobenzoyl)thiophene (I) with NaBH4 in DMF gives 2-chloroacetylamino-3-[(o-chlorophenyl)hydroxymethyl]thiophene (II), which is cyclized by means of sodium isopropoxide in refluxing isopropanol to afford 5-(o-chlorophenyl)thieno[2,3-e]-4,1-oxazepin-2-one (III). The bromination of (III) with Br2 in CHCl3 - pyridine yields 7-bromo-5-(o-chlorophenyl)thieno[2,3-e]-4,1-oxazepin-2-one (IV), which by reaction with P2S5 and NaHCO3 in hot diglyme is converted into 7-bromo-5-(o-chlorophenyl)thieno[2,3-e]-4,1-oxazepin-2-thione (V) (1). The cyclization of (V) with cyclohexanecarboxyl hydrazide (A) in THF gives 7-bromo-5-(o-chlorophenyl)-1-cyclohexylthieno[2,3-e]triazolo[3,4-c]-4,1-oxazepin-2-one (VI). The ring opening of (VI) by treatment with concentrated HBr yields 3-cyclohexyl-4-[3-(o-chlorophenylbromomethyl)-5-bromo-2-thienyl]-5-hydroxymethyl-1,2,4-triazole (VII), which by reaction with SOCl2 is converted into 3-cyclohexyl-4-[3-(o-chlorophenyl-bromomethyl)-5-bromo-2-thienyl]-5-chloromethyl-1,2,4-triazole (VIII). The cyclization of (VIII) with NH3 in methanol a 100 C in a pressure vessel yields 8-bromo-6-(o-chlorophenyl)-1-cyclohexyl-4H-s-triazolo[3,4-c]thieno[2,3-e]-5,6-dihydro-1,4-diazepine (IX), which is finally dehydrogenated by treatment with KMnO4 in refluxing acetone

参考文献No.804009
标题:Ciclotizolam
作者:Blancafort, P.; Serradell, M.N.; Casta馿r, J.; Owen, R.T.
来源:Drugs Fut 1981,6(6),342
合成路线图解说明:

The reduction of 2-chloroacetylamino-3-(o-chlorobenzoyl)thiophene (I) with NaBH4 in DMF gives 2-chloroacetylamino-3-[(o-chlorophenyl)hydroxymethyl]thiophene (II), which is cyclized by means of sodium isopropoxide in refluxing isopropanol to afford 5-(o-chlorophenyl)thieno[2,3-e]-4,1-oxazepin-2-one (III). The bromination of (III) with Br2 in CHCl3 - pyridine yields 7-bromo-5-(o-chlorophenyl)thieno[2,3-e]-4,1-oxazepin-2-one (IV), which by reaction with P2S5 and NaHCO3 in hot diglyme is converted into 7-bromo-5-(o-chlorophenyl)thieno[2,3-e]-4,1-oxazepin-2-thione (V) (1). The cyclization of (V) with cyclohexanecarboxyl hydrazide (A) in THF gives 7-bromo-5-(o-chlorophenyl)-1-cyclohexylthieno[2,3-e]triazolo[3,4-c]-4,1-oxazepin-2-one (VI). The ring opening of (VI) by treatment with concentrated HBr yields 3-cyclohexyl-4-[3-(o-chlorophenylbromomethyl)-5-bromo-2-thienyl]-5-hydroxymethyl-1,2,4-triazole (VII), which by reaction with SOCl2 is converted into 3-cyclohexyl-4-[3-(o-chlorophenyl-bromomethyl)-5-bromo-2-thienyl]-5-chloromethyl-1,2,4-triazole (VIII). The cyclization of (VIII) with NH3 in methanol a 100 C in a pressure vessel yields 8-bromo-6-(o-chlorophenyl)-1-cyclohexyl-4H-s-triazolo[3,4-c]thieno[2,3-e]-5,6-dihydro-1,4-diazepine (IX), which is finally dehydrogenated by treatment with KMnO4 in refluxing acetone

合成路线图解说明:

The reaction of 7-bromo-5-(o-chlorophenyl)-3H-[2,3-e]thieno-1,4-diazepine-2-thione (X) with cyclohexanecarboxyl hydrazide (A) in refluxing dioxane gives 7-bromo-5-(o-chlorophenyl)-2-(cyclohexylcarbonylhydrazino)-3H-[2,3-e]thieno-1,4-diazepine (XI), which is cyclized by treatment with SiO2 in refluxing toluene

参考文献No.804010
标题:Imvamune IND receives approval
作者:
来源:Justus Liebigs Ann Chem. 1978,1257
合成路线图解说明:

The reduction of 2-chloroacetylamino-3-(o-chlorobenzoyl)thiophene (I) with NaBH4 in DMF gives 2-chloroacetylamino-3-[(o-chlorophenyl)hydroxymethyl]thiophene (II), which is cyclized by means of sodium isopropoxide in refluxing isopropanol to afford 5-(o-chlorophenyl)thieno[2,3-e]-4,1-oxazepin-2-one (III). The bromination of (III) with Br2 in CHCl3 - pyridine yields 7-bromo-5-(o-chlorophenyl)thieno[2,3-e]-4,1-oxazepin-2-one (IV), which by reaction with P2S5 and NaHCO3 in hot diglyme is converted into 7-bromo-5-(o-chlorophenyl)thieno[2,3-e]-4,1-oxazepin-2-thione (V) (1). The cyclization of (V) with cyclohexanecarboxyl hydrazide (A) in THF gives 7-bromo-5-(o-chlorophenyl)-1-cyclohexylthieno[2,3-e]triazolo[3,4-c]-4,1-oxazepin-2-one (VI). The ring opening of (VI) by treatment with concentrated HBr yields 3-cyclohexyl-4-[3-(o-chlorophenylbromomethyl)-5-bromo-2-thienyl]-5-hydroxymethyl-1,2,4-triazole (VII), which by reaction with SOCl2 is converted into 3-cyclohexyl-4-[3-(o-chlorophenyl-bromomethyl)-5-bromo-2-thienyl]-5-chloromethyl-1,2,4-triazole (VIII). The cyclization of (VIII) with NH3 in methanol a 100 C in a pressure vessel yields 8-bromo-6-(o-chlorophenyl)-1-cyclohexyl-4H-s-triazolo[3,4-c]thieno[2,3-e]-5,6-dihydro-1,4-diazepine (IX), which is finally dehydrogenated by treatment with KMnO4 in refluxing acetone

Drug Information Express,Drug R&D,Chemical Database,Patent Search.
Copyright © 2006-2026 Drug Future. All rights reserved.Contact Us