【药物名称】Butopamine, LY-131126
化学结构式(Chemical Structure):
参考文献No.900319
标题:
作者:Mills, J.; et al.
来源:BE 877391; EP 7205; FR 2430408; GB 2029407; JP 8009098
合成路线图解说明:

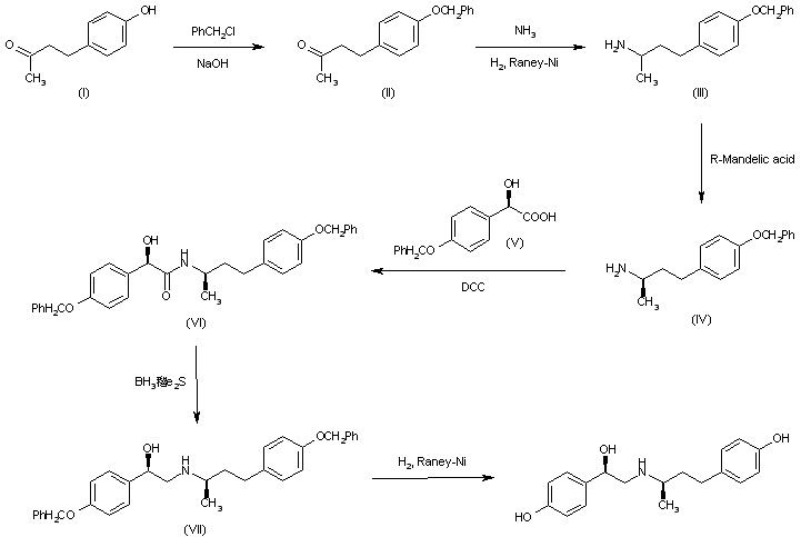
The benzylation of methyl 2-(4-hydroxyphenyl)ethyl ketone (I), with benzyl chloride and NaOH gives methyl 2-(4-benzyloxyphenyl)ethyl ketone (II), which is reductocondensed with NH3 by means of H2 over Raney-Ni in ethanol yielding 1-methyl-3-(4-benzyloxyphenyl)propylamine (III). The optical resolution of (III) with R-mandeli acid affords the R-isomer (IV), which is acetylated with R-2-(4-benzyloxyphenyl)-2-hydroxyacetic acid (V) by means of 1-hydroxybenzotriazole and dicyclohexylcarbodiimide in DMF to R,R-N-[2-(4-benzyloxyphenyl)-2-hydroxy-1-oxoethyl]-1-methyl-3-(4-benzyloxyphenyl)propylamine (VI). The reduction of (VI) with borane - dimethyl sulfide complex in THF gives R,R-N-[2-(4-benzyloxyphenyl)-2-hydroxyethyl]-1-methyl-3-(4-benzyloxyphenyl)propylamine (VII), which is finally debenzylated by hydrogenolysis with H2 over Raney-Ni in ethanol.

参考文献No.950065
标题:Butopamine
作者:Blancafort, P.; Serradell, M.N.; Casta馿r, J.; Thorpe, P.J.
来源:Drugs Fut 1981,6(6),340
合成路线图解说明:

The benzylation of methyl 2-(4-hydroxyphenyl)ethyl ketone (I), with benzyl chloride and NaOH gives methyl 2-(4-benzyloxyphenyl)ethyl ketone (II), which is reductocondensed with NH3 by means of H2 over Raney-Ni in ethanol yielding 1-methyl-3-(4-benzyloxyphenyl)propylamine (III). The optical resolution of (III) with R-mandeli acid affords the R-isomer (IV), which is acetylated with R-2-(4-benzyloxyphenyl)-2-hydroxyacetic acid (V) by means of 1-hydroxybenzotriazole and dicyclohexylcarbodiimide in DMF to R,R-N-[2-(4-benzyloxyphenyl)-2-hydroxy-1-oxoethyl]-1-methyl-3-(4-benzyloxyphenyl)propylamine (VI). The reduction of (VI) with borane - dimethyl sulfide complex in THF gives R,R-N-[2-(4-benzyloxyphenyl)-2-hydroxyethyl]-1-methyl-3-(4-benzyloxyphenyl)propylamine (VII), which is finally debenzylated by hydrogenolysis with H2 over Raney-Ni in ethanol.

Drug Information Express,Drug R&D,Chemical Database,Patent Search.
Copyright © 2006-2026 Drug Future. All rights reserved.Contact Us