【药物名称】Broperamole, TR-2378
化学结构式(Chemical Structure):
参考文献No.804007
标题:Broperamole
作者:Blancafort, P.; Serradell, M.N.; Casta馿r, J.; Arrigoni, Martelli, E.
来源:Drugs Fut 1981,6(4),214
合成路线图解说明:

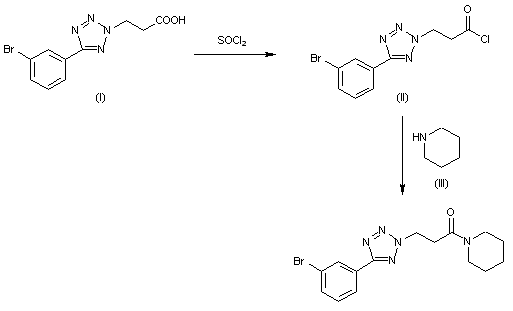
The chlorination of 3-[5-(m-bromophenyl)-2H-tetrazol-2-yl]propionic acid (I) with thionyl chloride in refluxing chloroform gives the corresponding acyl chloride (II), which is then treated with dry piperidine (III) in THF

参考文献No.900235
标题:
作者:
来源:CA 950908; DE 2063173; FR 2081397; GB 1319357; GB 1320140; JP 7141904; US 3681336
合成路线图解说明:

The chlorination of 3-[5-(m-bromophenyl)-2H-tetrazol-2-yl]propionic acid (I) with thionyl chloride in refluxing chloroform gives the corresponding acyl chloride (II), which is then treated with dry piperidine (III) in THF

Drug Information Express,Drug R&D,Chemical Database,Patent Search.
Copyright © 2006-2026 Drug Future. All rights reserved.Contact Us