【药物名称】Oxfenicine, UK-25842
化学结构式(Chemical Structure):
参考文献No.900318
标题:
作者:Clark, J.C.; Elks, J.
来源:BE 795874; CA 1010055; CH 595301; DE 2309180; FR 2173232; GB 1423822; JP 7397801; NL 7302544; US 3775946; US 3976680
合成路线图解说明:

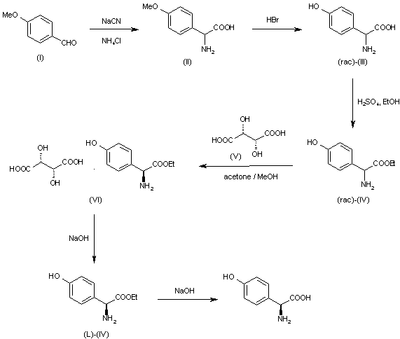
The condensation of p-anisaldehyde (I) with NaCN and NH4Cl in methanol - water, followed by an acid treatment and a steam distillation gives D,L-2-(p-methoxyphenyl)glycine (II), which is then demethylated by treatment with refluxing aqueous 48% HBr to D,L-2-(p-hydroxyphenyl)glycine (III) (1). The esterification of (III) by means of H2SO4 in refluxing ethanol gives the corresponding racemic ethyl ester (IV), which is treated with (+)-tartaric acid (V) in acetone - methanol, heated at 49 C, seeded with the apropriate L-hemitartrate and allowed to cool yielding the L-hemitartrate of 2-(p-hydroxyphenyl)glycine ethyl ester (VI). The partial hydrolysis of (VI) with NaOH in water yields ethyl L-2-(p-hydroxyphenyl)glycinate (L)-(IV), which is finally hydrolyzed with NaOH (2).

参考文献No.950063
标题:Synthesis of aminoacids from the hydrolisis of actinoidin
作者:Bognar, R.; et al.
来源:Antibiot 1964,9(10),875-880
合成路线图解说明:

The condensation of p-anisaldehyde (I) with NaCN and NH4Cl in methanol - water, followed by an acid treatment and a steam distillation gives D,L-2-(p-methoxyphenyl)glycine (II), which is then demethylated by treatment with refluxing aqueous 48% HBr to D,L-2-(p-hydroxyphenyl)glycine (III) (1). The esterification of (III) by means of H2SO4 in refluxing ethanol gives the corresponding racemic ethyl ester (IV), which is treated with (+)-tartaric acid (V) in acetone - methanol, heated at 49 C, seeded with the apropriate L-hemitartrate and allowed to cool yielding the L-hemitartrate of 2-(p-hydroxyphenyl)glycine ethyl ester (VI). The partial hydrolysis of (VI) with NaOH in water yields ethyl L-2-(p-hydroxyphenyl)glycinate (L)-(IV), which is finally hydrolyzed with NaOH (2).

参考文献No.950064
标题:Oxfenicine
作者:Blancafort, P.; Serradell, M.N.; Casta馿r, J.; Hillier, K.
来源:Drugs Fut 1981,6(3),146
合成路线图解说明:

The condensation of p-anisaldehyde (I) with NaCN and NH4Cl in methanol - water, followed by an acid treatment and a steam distillation gives D,L-2-(p-methoxyphenyl)glycine (II), which is then demethylated by treatment with refluxing aqueous 48% HBr to D,L-2-(p-hydroxyphenyl)glycine (III) (1). The esterification of (III) by means of H2SO4 in refluxing ethanol gives the corresponding racemic ethyl ester (IV), which is treated with (+)-tartaric acid (V) in acetone - methanol, heated at 49 C, seeded with the apropriate L-hemitartrate and allowed to cool yielding the L-hemitartrate of 2-(p-hydroxyphenyl)glycine ethyl ester (VI). The partial hydrolysis of (VI) with NaOH in water yields ethyl L-2-(p-hydroxyphenyl)glycinate (L)-(IV), which is finally hydrolyzed with NaOH (2).

Drug Information Express,Drug R&D,Chemical Database,Patent Search.
Copyright © 2006-2026 Drug Future. All rights reserved.Contact Us