【药物名称】Nafetolol, K-5407
化学结构式(Chemical Structure):
参考文献No.804005
标题:Nafetolol
作者:Blancafort, P.; Serradell, M.N.; Casta馿r, J.; McGillion, F.B.
来源:Drugs Fut 1981,6(2),92
合成路线图解说明:

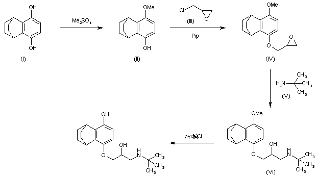
The selective methylation of 5,6,7,8-tetrahydro-5,8-ethanonaphthalene-1,4-diol (I) with dimethylsulfate in a two phase system gives 4-methoxy-5,6,7,8-tetrahydro-5,8-ethano-1-naphthol (II), which is condensed with epichlorohydrin (III) by means of piperidine at 100 C yielding 1-methoxy-4-(2,3-epoxypropoxy)-5,6,7,8-tetrahydro-5,8-ethanonaphthalene (IV). The reaction of (IV) with tert-butylamine (V) at 100 C affords 1-methoxy-4-[3-(tert-butylamino)-2-hydroxypropoxy]-5,6,7,8-tetrahydro-5,8-ethanonaphthalene (VI), which is finally demethylated by treatment with pyridine hydrochloride at 160 C

合成路线图解说明:

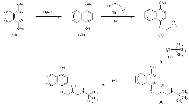
The selective hydrolysis of 1,4-diacetoxy-5,6,7,8-tetrahydro-5,8-ethanonaphthalene (VII) with diethylamine in methanol gives 4-acetoxy-5,6,7,8-tetrahydro-5,8-ethano-1-naphthol (VIII), which is condensed with epichlorohydrin (III) by means of piperidine at 90 C to afford 1-acetoxy-4-(2,3-epoxypropoxy)-5,6,7,8-tetrahydro-5,8-ethanonaphthalene (VII). The reaction of (IX) with tert-butylamine (V) in refluxing toluene gives 1-acetoxy-4-[3-(tert-butylamino)-2-hydroxypropoxy]-5,6,7,8-tetrahydro-5,8-ethanonaphthalene (X), which is finally hydrolyzed with dry HCl in refluxing methanol

参考文献No.804006
标题:Targeting MMP-7 via antisense oligonucleotide shows anti-metastatic effects in a colon cancer murine model
作者:Momiyama, N.; Ichikawa, Y.; Hasegawa, S.; Ishikawa, T.; Matsuyama, R.; Miazaki, K.; Shimada, H.
来源:Eur J Med Chem 1974,9(5),501
合成路线图解说明:

The selective methylation of 5,6,7,8-tetrahydro-5,8-ethanonaphthalene-1,4-diol (I) with dimethylsulfate in a two phase system gives 4-methoxy-5,6,7,8-tetrahydro-5,8-ethano-1-naphthol (II), which is condensed with epichlorohydrin (III) by means of piperidine at 100 C yielding 1-methoxy-4-(2,3-epoxypropoxy)-5,6,7,8-tetrahydro-5,8-ethanonaphthalene (IV). The reaction of (IV) with tert-butylamine (V) at 100 C affords 1-methoxy-4-[3-(tert-butylamino)-2-hydroxypropoxy]-5,6,7,8-tetrahydro-5,8-ethanonaphthalene (VI), which is finally demethylated by treatment with pyridine hydrochloride at 160 C

参考文献No.900234
标题:
作者:Lauria, F.; et al. (Carlo Erba, S.p.A.)
来源:BE 790188; CA 992983; CH 565741; DE 2251095; FR 2157897; GB 1351557; JP 7349750; NL 7214106; ZA 7207459
合成路线图解说明:

The selective hydrolysis of 1,4-diacetoxy-5,6,7,8-tetrahydro-5,8-ethanonaphthalene (VII) with diethylamine in methanol gives 4-acetoxy-5,6,7,8-tetrahydro-5,8-ethano-1-naphthol (VIII), which is condensed with epichlorohydrin (III) by means of piperidine at 90 C to afford 1-acetoxy-4-(2,3-epoxypropoxy)-5,6,7,8-tetrahydro-5,8-ethanonaphthalene (VII). The reaction of (IX) with tert-butylamine (V) in refluxing toluene gives 1-acetoxy-4-[3-(tert-butylamino)-2-hydroxypropoxy]-5,6,7,8-tetrahydro-5,8-ethanonaphthalene (X), which is finally hydrolyzed with dry HCl in refluxing methanol

Drug Information Express,Drug R&D,Chemical Database,Patent Search.
Copyright © 2006-2026 Drug Future. All rights reserved.Contact Us