【药物名称】O-1924
化学结构式(Chemical Structure):
参考文献No.626306
标题:Synthesis of 6- and 7-hydroxy-8-azabicyclo[3.2.1]octanes and their binding affinity for the dopamine and serotonin transporters
作者:Meltzer, P.C.; Wang, B.B.; Chen, Z.; Blundell, P.; Jayaraman, M.; Gonzalez, M.D.; George, C.; Madras, B.K.
来源:J Med Chem 2001,4(16),2619
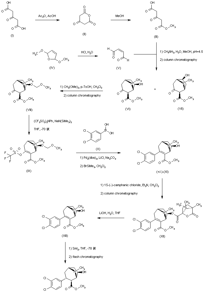
合成路线图解说明:

Acetonedicarboxylic acid (I) was converted to the monomethyl ester (III) via the cyclic anhydride (II). Dialdehyde (V), prepared in situ by acid hydrolysis of 2,5-dimethoxydihydrofuran (IV), was subjected to a double Mannich condensation with keto ester (III) and methylamine to produce a mixture of tropane derivatives. Column chromatography of the obtained crude product provided a mixture of 7-hydroxy- (VI) and 6-hydroxy- (VII) tropanes, which were separated from the minor 6- and 7-methoxy analogues. Treatment of alcohols (VI) and (VII) with dimethoxymethane and p-toluenesulfonic acid generated the corresponding mixture of mixed acetals, from which the desired 7-methoxymethyl isomer (VIII) was isolated by column chromatography. Conversion of (VIII) to the enol triflate (IX) was achieved with N-phenyltrifluoromethanesulfonimide and sodium bis(trimethylsilyl)amide at low temperature. The aryl tropene (XI) was then obtained by Suzuki coupling of triflate (IX) with 3,4-dichlorophenylboronic acid (X), followed by trimethylsilyl bromide-promoted deprotection of the methoxymethyl group. Resolution of the racemic tropenol (XI) was effected by esterification with (1S)-(-)-camphanic chloride followed by separation of the resulting diastereomeric mixture. The desired isomer (XII) was then hydrolyzed with LiOH to provide the enantiopure (1S)-alcohol (XIII). Then, reduction to the saturated tropane derivative by means of samarium iodide at low temperature produced a diastereomeric mixture of 3-aryltropanes from which the title 3alpha-isomer was isolated by flash chromatography.

Drug Information Express,Drug R&D,Chemical Database,Patent Search.
Copyright © 2006-2026 Drug Future. All rights reserved.Contact Us