【药物名称】
化学结构式(Chemical Structure):
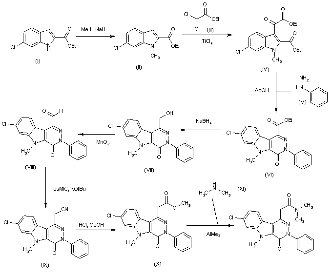
参考文献No.38445
标题:4-Oxo-3,5-dihydro-4H-pyridazino[4,5-b]-indole-1-acetamide derivs., their preparation and their application in therapy
作者:Bartsch, R.; Sevrin, M.; Froissant, J.; Evanno, Y.; Dubois, L.; Marguet, F.; Gille, C. (Sanofi-Synth閘abo)
来源:EP 1000063; FR 2766823; JP 2001512122; US 6262045; WO 9906406
合成路线图解说明:

The methylation of 6-chloro-1H-indole-2-carboxylic acid ethyl ester (I) with NaH and Me-I in DMF gives the 1-methylindole derivative (II), which is condensed with 2-chloro-2-oxoacetic acid ethyl ester (III) by means of TiCl4 in dichloroethane to yield 6-chloro-2-[2-(ethoxycarbonyl)-1-methyl-1H-indol-3-yl]-2-oxoacetic acid ethyl ester (IV). The cyclization of (IV) with phenylhydrazine (V) in refluxing acetic acid affords the 7-chloro-5-methyl-4-oxo-3-phenyl-4,5-dihydro-3H-pyridazino[4,5-b]indole-1-carboxylic acid ethyl ester (VI). The reduction of the ester group of (VI) by means of NaBH4 in refluxing THF/methanol affords the hydroxymethyl derivative (VII), which is oxidized with MnO2 in refluxing dichloromethane to provide the corresponding carbaldehyde (VIII). The reaction of (VIII) with p-Toluenesulfonylmethyl isocyanide (TosMIC) and potassium tert-butoxide in dimethoxyethane gives the acetonitrile derivative (IX), which is hydrolyzed with HCl in refluxing methanol to yield the acetate ester derivative (X). Finally, this compound is treated with dimethylamine and trimethylaluminum in toluene to afford the target dimethylacetamide derivative.

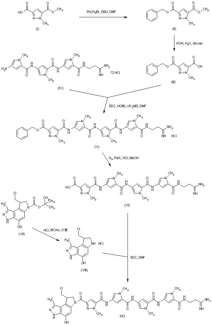
参考文献No.625971
标题:Design, synthesis, DNA binding, and biological evaluation of water-soluble hybrid molecules containing two pyrazole analogues of the alkylating cyclopropylpyrroloindole (CPI) subunit of the antitumor agent CC-1065 and polypyrrole minor groove binders
作者:Baraldi, P.G.; Balboni, G.; Pavani, M.G.; Spalluto, G.; Tabrizi, M.A.; Clercq, E.D.; Balzarini, J.; Bando, T.; Sugiyama, H.; Romagnoli, R.
来源:J Med Chem 2001,44(16),2536
合成路线图解说明:

The pyrazoledicarboxylic acid mono-methyl ester (I) was converted to the methyl benzyl diester (II) by treatment with benzyl bromide in the presence of DBU. Selective hydrolysis of the methyl ester function with KOH then provided the carboxylic acid (III). Coupling of acid (III) with deformyl distamycin A (IV) using EDC and HOBt gave amide (V). The protecting benzyl ester group of (V) was cleaved by catalytic hydrogenation over Pd/C to yield acid (VI). Amine (VIII) was obtained by acid cleavage of the Boc group from the protected precursor (VII). Subsequent coupling of amine (VIII) with carboxylic acid (VI) furnished the title compound.

Drug Information Express,Drug R&D,Chemical Database,Patent Search.
Copyright © 2006-2026 Drug Future. All rights reserved.Contact Us