【药物名称】
化学结构式(Chemical Structure):
参考文献No.49502
标题:gamma-Hydroxy-2-(fluoroalkylaminocarbonyl)-1-piperazinepentanamides as HIV protease inhibitors
作者:Askin, D.; Rano, T.A.; Tata, J.R.; Chapman, K.T.; Raghavan, S.; Kevin, N.J.; Varsolona, R.J.; Lu, Z.; Hoerrner, R.S.; Zhang, F.; Duffy, J.L.; Cheng, Y.; Huening, T.; Kirk, B.A.; Fleitz, F.J.; Petrillo, D.E.; et al. (Merck & Co., Inc.)
来源:EP 1242426; WO 0138332
合成路线图解说明:

(S)-Piperazine-2-carboxylic acid (I) was sequentially protected as the 4-Boc derivative (II) and then as the 1-Alloc-4-Boc-piperazine (III). After conversion of (III) to benzyl ester (IV), its N-Boc group was selectively removed by treatment with trifluoroacetic acid. The resultant 4-deprotected piperazine (V) was then alkylated with 3-chloro-3-methyl-1-butyne (VI) yielding (VII). Copper-promoted coupling of 4-hydroxy-3,5-diiodopyridine (IX) prepared by halogenation of 4-hydroxypyridine (VIII) with N-iodosuccinimide with the propargyl piperazine (VII) gave rise to the furo[3,2-c]pyridine derivative (X). The N-Alloc protecting group was then replaced by the N-Boc group to yield (XII) via palladium catalyzed deprotection of (X), followed by treatment of the resultant piperazine (XI) with Boc2O. Simultaneous hydrogenolysis of the benzyl ester and the iodo substituent of (XII) led to acid (XIII). After coupling of (XIII) with 2,2,2-trifluoroethylamine, acidic cleavage of the N-Boc group furnished the piperazine-2-carboxamide (XIV).

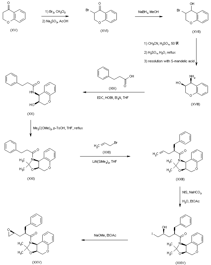
合成路线图解说明:

Bromochromanone (XVI) was prepared by bromination of 4-chromanone (XV). Subsequent reduction of (XVI) with NaBH4 provided bromohydrin (XVII). Ritter reaction of (XVII) with acetonitrile and sulfuric acid, followed by acidic hydrolysis, led to racemic cis-3-bromo-4-chromanol, which was then resolved by means of (S)-(+)-mandelic acid. The desired (S,S)-isomer (XVIII) was coupled with hydrocinnamic acid (XIX) giving amide (XX). After protection of hydroxy amide (XX) as the acetonide (XXI), the lithium enolate of amide (XXI) was alkylated with allyl bromide (XXII) to furnish the (S)-2-benzyl-4-pentenamide (XXIII) as the main diastereoisomer. Halogenation of (XXIII) with N-iodosuccinimide in H2O-EtOAc afforded iodohydrin (XXIV), which was cyclized to epoxide (XXV) in the presence of NaOMe.

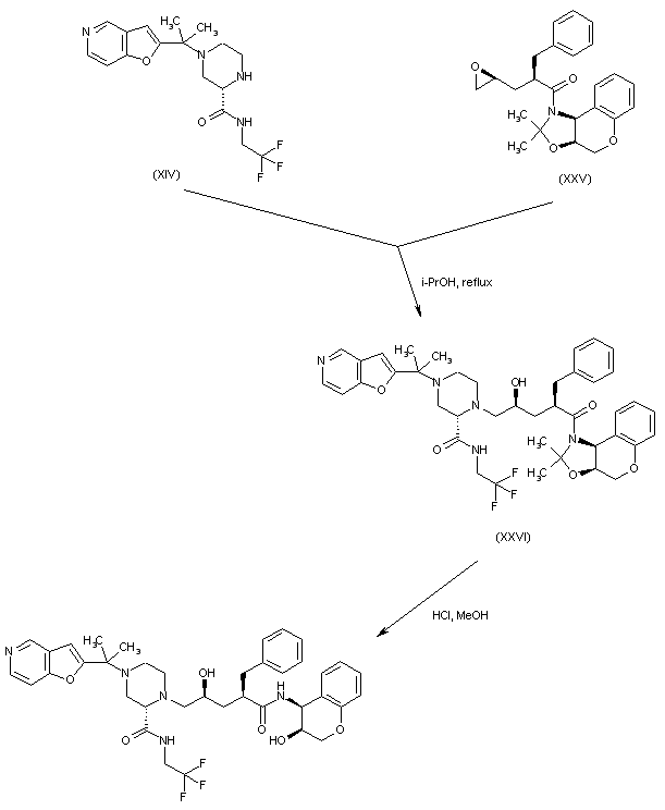
合成路线图解说明:

Ring opening of epoxide (XXV) with piperazine (XIV) in refluxing isopropanol provided the amino alcohol adduct (XXVI). The title compound was then obtained by acetonide group hydrolysis in (XXVI) in the presence of methanolic HCl.

Drug Information Express,Drug R&D,Chemical Database,Patent Search.
Copyright © 2006-2026 Drug Future. All rights reserved.Contact Us