【药物名称】BIBR-1109
化学结构式(Chemical Structure):
参考文献No.41808
标题:Benzimidazoles, production thereof and use thereof as medicaments
作者:Kauffmann, I.; Ries, U.; Priepke, H.; Hauel, N.; Stassen, J.M.; Nar, H.; Wienen, W. (Boehringer Ingelheim Pharma KG)
来源:DE 19829964; EP 1095025; WO 0001704
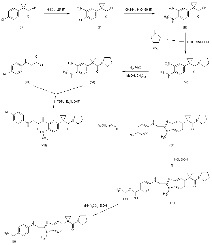
合成路线图解说明:

Nitration of 1-(4-chlorophenyl)-1-cyclopropanecarboxylic acid (I) with fuming HNO3 produced the 3-nitro derivative (II). The chloride group of (III) was then displaced with methylamine to give the nitro aniline (III). Coupling of (III) with pyrrolidine (IV) by means of TBTU yielded amide (V). The nitro group of (V) was reduced by catalytic hydrogenation over Pd/C to afford the phenylenediamine (VI), which was subsequently acylated by N-(4-cyanophenyl)glycine (VII), yielding amide (VIII). Benzimidazole (IX) was then obtained by cyclization of (VIII) in refluxing HOAc. Pinner reaction of nitrile (IX) with ethanolic HCl produced the imidate (X), which was finally converted to the target amidine by treatment with ammonium carbonate.

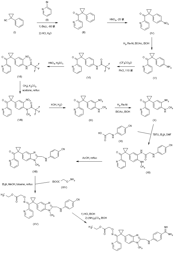
合成路线图解说明:

Lithiation of 2-bromopyridine (II) with BuLi, followed by addition to 1-phenylcyclopropanecarbonitrile (I), gave rise to ketone (III). Electrophilic nitration of the phenyl ring of (III) produced the nitro derivative (IV). The nitro group of (IV) was subsequently reduced by catalytic hydrogenation over Raney Ni to afford aniline (V), which was further acylated with trifluoroacetic anhydride, yielding amide (VI). A second nitration reaction in (VI) with HNO3-H2SO4 provided the nitro anilide (VII). Amide (VII) N-alkylation by means of iodomethane and K2CO3 gave the corresponding N-methyl derivative (VIII). The trifluoroacetamide function of (VIII) was then hydrolyzed under basic conditions to furnish the nitro aniline (IX), which was reduced to the phenylenediamine (X) by catalytic hydrogenation in the presence of Raney Ni. Acylation of (X) by N-(4-cyanophenyl)glycine (XI) yielded amide (XII). Benzimidazole (XIII) was then obtained by cyclization of (XII) in refluxing HOAc. The keto group of (XIII) was converted to the oxime derivative (XV) by condensation with ethyl (aminooxy)acetate (XIV). Finally, Pinner reaction of nitrile (XV) with ethanolic HCl, followed by treatment of the resulting imidate with ammonium carbonate provided the target amidine.

合成路线图解说明:

The alkylation of 2-methylbenzimidazole (I) with 4-chloro-3-nitrobenzyl chloride (II) provided adduct (III). Displacement of the chlorine atom of (III) with methylamine furnished the nitro aniline (IV), which was further reduced to phenylenediamine (V) by catalytic hydrogenation over Raney-Ni. Acylation of (V) by N-(4-cyanophenyl)glycine (VI) using N,N?carbonyldiimidazole as the activating reagent yielded amide (VII). The bis-benzimidazole compound (VIII) was then produced by cyclization of (VII) in refluxing HOAc. Finally, Pinner reaction of nitrile (VIII) with ethanolic HCl, followed by treatment of the resulting imidate with ammonium carbonate, provided the target amidine.

Drug Information Express,Drug R&D,Chemical Database,Patent Search.
Copyright © 2006-2026 Drug Future. All rights reserved.Contact Us