【药物名称】Disobutamide, SC-31828
化学结构式(Chemical Structure):
参考文献No.900317
标题:
作者:Renbarger, J.J.; Yonan, P.K.
来源:BE 864822; DE 2810143; FR 2383163; JP 78121737; US 4107205; US 4153797; ZA 7801429
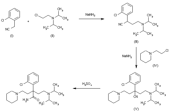
合成路线图解说明:

The reaction of 2-chlorophenylacetonitrile (I) with 2-chloroethyldiisopropylamine (II) by means of NaNH2 in hot toluene gives alpha-[2-(diisopropylamino)ethyl]-2-chloroethyl-2-chlorophenylacetonitrile (III), which is condensed again with 1-(2-chloroethyl)piperidine (IV) by means of NaNH2 in the same way to afford alpha-[2-(1-piperidino)ethyl]-alpha-[2-(diisopropylamino)ethyl]-2-chlorophenylacetonitrile (V). Finally this compound is hydrolyzed partially by means of H2SO4 at 0 C.

参考文献No.950062
标题:Disobutamide
作者:Blancafort, P.; Serradell, M.N.; Casta馿r, J.; Leeson, P.A.; Mealey, N.E.
来源:Drugs Fut 1981,6(2),78
合成路线图解说明:

The reaction of 2-chlorophenylacetonitrile (I) with 2-chloroethyldiisopropylamine (II) by means of NaNH2 in hot toluene gives alpha-[2-(diisopropylamino)ethyl]-2-chloroethyl-2-chlorophenylacetonitrile (III), which is condensed again with 1-(2-chloroethyl)piperidine (IV) by means of NaNH2 in the same way to afford alpha-[2-(1-piperidino)ethyl]-alpha-[2-(diisopropylamino)ethyl]-2-chlorophenylacetonitrile (V). Finally this compound is hydrolyzed partially by means of H2SO4 at 0 C.

Drug Information Express,Drug R&D,Chemical Database,Patent Search.
Copyright © 2006-2026 Drug Future. All rights reserved.Contact Us