【药物名称】Lopirazepam, D-12524
化学结构式(Chemical Structure):
参考文献No.900316
标题:
作者:Von Bebenburg, W.; Offermans, H.
来源:BE 792541; CA 990289; CH 548208; CH 594665; CH 603644; CH 603645; CH 605946; DE 2259471; FR 2162482; GB 1400755; JP 7364096; NL 7216621; US 4008223; ZA 7208497
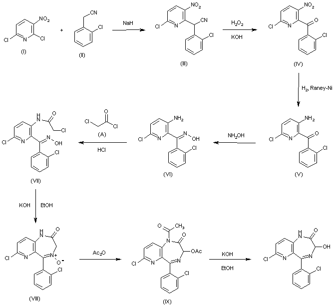
合成路线图解说明:

The reaction of 2,6-dichloro-3-nitropyridine (I) with 2-chlorobenzyl cyanide (II) by means of NaH in dioxane gives 2-(2-chloro-alpha-cyanobenzyl)-3-nitro-6-chloropyridine (III), which is oxidized with H2O2 and KOH in acetone yielding 2-(2-chlorobenzoyl)-3-nitro-6-chloropyridine (IV). The reduction of (IV) with H2 over Raney-Ni in dioxane affords 2-benzoyl-3-amino-6-chloropyridine (V), which is converted into 2-(2-chlorobenzoyloximino)-3-amino-6-chloropyridine (VI). The condensation of (VI) with chloroacetyl chloride (A) by means of HCl in HOAc gives 2-(2-chlorobenzoyloximino)-3-chloroacetylamino-6-chloropyridine (VII), which is cyclized by means of KOH in ethanol affording 5-(2-chlorophenyl)-7-chloro-6-aza-1,3-dihydro-2H-1,4-benzodiazepin-2-one-4-oxide (VIII) with refluxing acetic anhydride yields 1-acetyl-3-acetoxy-5-(2-chlorophenyl)-7-chloro-6-aza-1,3-dihydro-2H-1,4-benzodiazepin-2-one (IX). Finally this compound is deacetylated by treatment with KOH in ethanol at room temperature.

参考文献No.950061
标题:Lopirazepam
作者:Blancafort, P.; Serradell, M.N.; Casta馿r, J.; Koch, H.
来源:Drugs Fut 1981,6(1),29
合成路线图解说明:

The reaction of 2,6-dichloro-3-nitropyridine (I) with 2-chlorobenzyl cyanide (II) by means of NaH in dioxane gives 2-(2-chloro-alpha-cyanobenzyl)-3-nitro-6-chloropyridine (III), which is oxidized with H2O2 and KOH in acetone yielding 2-(2-chlorobenzoyl)-3-nitro-6-chloropyridine (IV). The reduction of (IV) with H2 over Raney-Ni in dioxane affords 2-benzoyl-3-amino-6-chloropyridine (V), which is converted into 2-(2-chlorobenzoyloximino)-3-amino-6-chloropyridine (VI). The condensation of (VI) with chloroacetyl chloride (A) by means of HCl in HOAc gives 2-(2-chlorobenzoyloximino)-3-chloroacetylamino-6-chloropyridine (VII), which is cyclized by means of KOH in ethanol affording 5-(2-chlorophenyl)-7-chloro-6-aza-1,3-dihydro-2H-1,4-benzodiazepin-2-one-4-oxide (VIII) with refluxing acetic anhydride yields 1-acetyl-3-acetoxy-5-(2-chlorophenyl)-7-chloro-6-aza-1,3-dihydro-2H-1,4-benzodiazepin-2-one (IX). Finally this compound is deacetylated by treatment with KOH in ethanol at room temperature.

Drug Information Express,Drug R&D,Chemical Database,Patent Search.
Copyright © 2006-2026 Drug Future. All rights reserved.Contact Us