【药物名称】Clopipazan mesylate, SK&F-69634
化学结构式(Chemical Structure):
参考文献No.900314
标题:
作者:
来源:BE 835224; DE 2549841; FR 2290202; JP 7670768; JP 7783854; NL 7512974; ZA 7506550
合成路线图解说明:

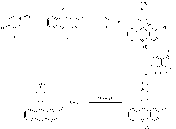
The reaction of 1-methyl-4-chloropiperidine (I) with 2-chloro-9-xanthone (II) by means of Mg in THF gives 9-(1-methyl-4-piperidyl)-2-chloroxanthene-9-ol (III), which is dehydrated by reaction with p-sulfobenzoic anhydride (IV) in refluxing propionic acid and finally treated with methane sulfonic acid.

参考文献No.950059
标题:Clopipazan Mesylate
作者:Blancafort, P.; Serradell, M.N.; Casta馿r, J.; Owen, R.T.
来源:Drugs Fut 1981,6(1),15
合成路线图解说明:

The reaction of 1-methyl-4-chloropiperidine (I) with 2-chloro-9-xanthone (II) by means of Mg in THF gives 9-(1-methyl-4-piperidyl)-2-chloroxanthene-9-ol (III), which is dehydrated by reaction with p-sulfobenzoic anhydride (IV) in refluxing propionic acid and finally treated with methane sulfonic acid.

Drug Information Express,Drug R&D,Chemical Database,Patent Search.
Copyright © 2006-2026 Drug Future. All rights reserved.Contact Us