【药物名称】Tracazolate, ICI-136753
化学结构式(Chemical Structure):
参考文献No.900311
标题:
作者:Hans, H.; Theodor, D.
来源:BE 787249; CA 997350; CA 997352; CH 549590; CH 553798; CH 553800; DE 2237765; FR 2150737; GB 1402172; JP 7326796; NL 7210701; US 3833594; US 3856799; US 3925388; ZA 7204745
合成路线图解说明:

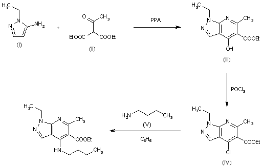
The cyclization of 1-ethyl-2-aminopyrazole (I) with diethyl acetylmalonate (II) by means of polyphosphoric acid at 120 C gives ethyl 1-ethyl-6-methyl-4-hydroxy-1H-pyrazolo[3,4-b]pyridine-5-carboxylate (III), which by reaction with refluxing POCl3 is converted into ethyl 1-ethyl-4-chloro-6-methyl-1H-pyrazolo[3,4-b]pyridine-5-carboxylate (IV). Finally this compound is treated with butylamine (V) in benzene.

参考文献No.950056
标题:Tracazolate
作者:Blancafort, P.; Serradell, M.N.; Casta馿r, J.; Owen, R.T.
来源:Drugs Fut 1982,7(11),827
合成路线图解说明:

The cyclization of 1-ethyl-2-aminopyrazole (I) with diethyl acetylmalonate (II) by means of polyphosphoric acid at 120 C gives ethyl 1-ethyl-6-methyl-4-hydroxy-1H-pyrazolo[3,4-b]pyridine-5-carboxylate (III), which by reaction with refluxing POCl3 is converted into ethyl 1-ethyl-4-chloro-6-methyl-1H-pyrazolo[3,4-b]pyridine-5-carboxylate (IV). Finally this compound is treated with butylamine (V) in benzene.

Drug Information Express,Drug R&D,Chemical Database,Patent Search.
Copyright © 2006-2026 Drug Future. All rights reserved.Contact Us